Solving for ##x## for a given inequality

Click For Summary

Homework Help Overview

The problem involves solving the inequality \(\dfrac{x}{x+2}\le \dfrac{1}{|x|}\), with considerations around the values of \(x\) that make the expressions valid. The original poster attempts to analyze the inequality by breaking it into two cases based on the sign of \(x\) and exploring the resulting conditions.

Discussion Character

  • Exploratory, Assumption checking, Problem interpretation

Approaches and Questions Raised

  • The original poster provides an attempt at solving the inequality by considering cases for \(x\) and deriving conditions from each case. Some participants question the validity of the ranges derived and suggest that certain cases may have been disregarded or combined incorrectly.

Discussion Status

The discussion is ongoing, with participants providing feedback on the original poster's approach. There are indications of differing interpretations regarding the solution sets, and some participants are guiding the original poster to reconsider certain aspects of their reasoning.

Contextual Notes

Participants note that \(x\) cannot equal 0 or -2, which is a critical constraint in the problem. There is also mention of a potential misunderstanding regarding the terminology used for a visual aid related to the problem.

brotherbobby
Messages
777
Reaction score
172
Homework Statement
Solve : ##\mathbf{\dfrac{x}{x+2}\le \dfrac{1}{|x|}}##
Relevant Equations
(1) By definition, ##|x| = x## if ##x\ge 0## and ##|x| = -x## if ##x \le 0##.
(2) ##\frac{1}{x}## is not defined for ##x = 0##.
(3) If ##|x| > a\Rightarrow x>a\; \text{or}\; x<-a##
1656848675312.png
Problem Statement :
I copy and paste the problem from the text to the right.

Attempt (mine) : Given the inequality ##\dfrac{x}{x+2}\le \dfrac{1}{|x|}##. We see immediately that ##x\ne 0, -2##. At the same time, since ##|x|\ge 0\Rightarrow \frac{x}{x+2}\ge 0##.

Now if ##\frac{x}{x+2}\le \frac{1}{|x|}\Rightarrow \frac{1}{|x|}\ge \frac{x}{x+2}##, then we have either ##\frac{1}{x}\ge \frac{x}{x+2}## or ##\frac{1}{x}\le -\frac{x}{x+2}##.

1. The first inequality above reduces to ##\frac{1}{x}-\frac{x}{x+2}\ge 0\Rightarrow \frac{x+2-x^2}{x(x+2)}\ge 0\Rightarrow \frac{x^2-x-2}{x(x+2)}\le 0\Rightarrow \frac{(x-2)(x+1)}{x(x+2)}\le 0## which lead to the answers : ##\boxed{-2<x<-1\; \text{OR}\; 0<x<2}## (note the equality condition is forbidden due to considerations right at the beginning). This can be found by the number line
1656849968462.png
pneumonic shown to the right or any other way you are used to with inequalities.

I attach the pictorial pneumonic to the right for those who are used to it. 2. The second inquality above reduces to ##\frac{1}{x}+\frac{x}{x+2}\le 0\Rightarrow \frac{x^2+x+2}{x(x+2}\le 0##. Now we can show using the method of "squaring a quadratic equation" that the numerator ##x^2+x+2>0 \;\;\forall x##. Thus focus falls on the numerator, which yields ##\boxed{-2<x<0}##.

Putting both cases 1 and 2 together and caring for overlaps, my solution for the proble reads : ##\boxed{-2<x<-1\;\;\;\text{OR}\;\;\; 0<x<2}## .

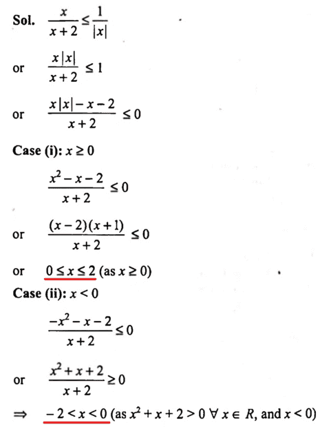
Solution (Text) : I could neither follow, nor agree, with the solution in the text. I copy and paste it below.
1656850738316.png


I have underlined what I believe to be the solutions. So ##x=0?!##. Clearly that is not correct. However, the text is right when I take samples from its solutions that are less than zero, for instance ##x = -1, -0.5## etc., solutions which I did not get. Surely my method is mistaken.

A hint or suggestion would be welcome.
 
Physics news on Phys.org
Your case 1 is when ##x>0## thus the solution ##-2<x<-1## must be disregarded as out of the allowed limit (which is ##x>0##).
 
  • Like
Likes   Reactions: FactChecker
In addition to @Delta2's point, you have combined your two 'ORed' cases incorrectly. You should have included all of the -2<x<0 results of the second case.
 
brotherbobby said:
I attach the pictorial pneumonic
"Pneumonic" isn't the word you want here. That would be "mnemonic."
 
  • Love
  • Haha
Likes   Reactions: nuuskur and Delta2

Similar threads

Replies
3
Views
3K
  • · Replies 14 ·
Replies
14
Views
4K
  • · Replies 11 ·
Replies
11
Views
2K
  • · Replies 10 ·
Replies
10
Views
2K
  • · Replies 7 ·
Replies
7
Views
2K
  • · Replies 10 ·
Replies
10
Views
2K
Replies
7
Views
2K
Replies
6
Views
4K
  • · Replies 5 ·
Replies
5
Views
2K
  • · Replies 7 ·
Replies
7
Views
3K