Solving for x in 0 = -1/8 + 3/8 x / (10^2 +x^2)^0.5

  • Thread starter Thread starter OwlsInATrenchcoat
  • Start date Start date
Click For Summary

Homework Help Overview

The discussion revolves around solving the equation 0 = -1/8 + 3/8 x / (10^2 + x^2)^0.5, which is related to a scenario involving a lifeguard running and swimming to minimize total time. The problem is situated within the context of calculus and optimization, specifically focusing on the differentiation of a time function.

Discussion Character

  • Exploratory, Conceptual clarification, Mathematical reasoning, Assumption checking

Approaches and Questions Raised

  • Participants discuss the differentiation of the time function and the application of the quadratic formula, with some expressing uncertainty about the correctness of their differentiation. Others suggest alternative methods, including a reference to Snell's law and its implications for the problem.

Discussion Status

The discussion is ongoing, with participants exploring different interpretations and methods to approach the problem. Some have offered insights into potential errors in differentiation, while others have introduced alternative perspectives related to Snell's law, indicating a productive exchange of ideas without a clear consensus.

Contextual Notes

Participants note the complexity of the problem and the potential for errors in algebraic manipulation. There is also mention of the precision of the time calculation, raising questions about rounding and the implications of small numerical changes on the overall solution.

OwlsInATrenchcoat
Messages
4
Reaction score
1
Homework Statement
A swimmer is drowning at B, a distance a/2 = 10m away from the beach.
A lifeguard patrolling along the very edge of the beach spots the swimmer when the lifeguard is at point A, which is a distance a=20m away from the point on the beach that is closest to the drowning swimmer.
The average speed of the lifeguard running along the beach is v = 8ms^-1
and her average swimming speed is v=8/3ms^-1
What is the minimum time that the lifeguard can reach the swimmer?
Relevant Equations
Speed = distance / time
a^2 = b^2 +c^2 for a right angled triangle.



.
Hello all,
Kinematics_Drowning_Sea_1_5.svg


I've solved this problem on IP by writing the relevant equations into Gsheets and solving through trial and error. I've followed their hints for solving it, which lead me to a rather complex quadratic to solve. I'd appreciate if anyone can give me a clue as to how to solve for x in the following:
0 = -1/8 + 3/8 x / (10^2 +x^2)^0.5

The logic behind that is that the total time will be given by:
1676572488733.png

If x is the distance from O to C, where C is the point along the beach that they stop running and begin swimming. The first term is the time taken to run to C, and the second to swim along the hypotenuse of triangle OBC.
Graphing this we can see a curve, where the minimum value is a point where the gradient is 0.
So differentiating and equating to zero, we get:
0 = -1/8 + 3/8 x / (10^2 +x^2)^0.5

I'm fairly happy with all of that logic, and the value of x = 3.536m giving t = 6.035533909s checks out on IP and when input into the above equations, so I'm pretty sure my rearrangement and differentiation is OK.

So, it's just the last step, solving for x. I've tried rearranging and inputting into the quadratic formula, but I get a negative discriminant. I'd greatly appreciate anyone walking through that last step. My algebra is clearly rusty!
Or if you can see a different approach to reach the same solution, that would also be interesting. :)

Many thanks,

PP
1676572430821.png
 
Physics news on Phys.org
Aha!
I was making a foolish error at the final step. It can be rearranged and input into the quadratic formula to get the same answer. Carefully writing out this post helped me to get there, so I'll leave this here for anyone that wants to discuss it.
 
EDIT - Apologies. Brain-hiccup. Struck-through.

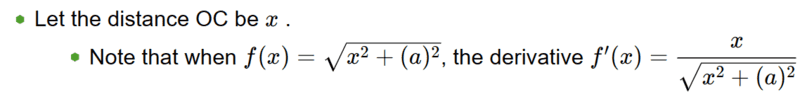
Your overall method look good but have you differentiated correctly?
##t = \frac {20-x}8 + \frac 38 (100+x^2)^{0.5}##
I don’t thnk that gives:
##\frac {dt}{dx} = -\frac 18 + \frac 38 x (100+x^2)^{-0.5}##
(A factor of 2 missing?)


Also, t=6.035533909s (correct or not) is an answer precise to the nearest nanosecond (literally). You may wish to consider rounding!
 
Last edited:
Steve4Physics said:
Your overall method look good but have you differentiated correctly?
##t = \frac {20-x}8 + \frac 38 (100+x^2)^{0.5}##
I don’t thnk that gives:
##\frac {dt}{dx} = -\frac 18 + \frac 38 x (100+x^2)^{-0.5}##
(A factor of 2 missing?)

Also, t=6.035533909s (correct or not) is an answer precise to the nearest nanosecond (literally). You may wish to consider rounding!
That bit of differentiation was given in their hints:
1676578047182.png

And yes, 6.04s will do me just fine. :)
 
  • Like
Likes   Reactions: Steve4Physics
OwlsInATrenchcoat said:
That bit of differentiation was given in their hints:
View attachment 322379
My apologies. Post #3 edited,
 
  • Like
Likes   Reactions: MatinSAR
A more general case would be for the lifeguard to be at some distance ##d## in from the shoreline. The method of solving this would be the same. If you know Snell's law of refraction, you will recognize that the lifeguard problem is an illustration of that. The case here is equivalent to grazing incidence where the sine of the angle (relative to a line perpendicular to the shore) at which the lifeguard enters the water is equal to the ratio of his swimming to running speed. This result would have been more transparent had you solved the problem using symbols instead of numbers.
 
  • Like
  • Informative
Likes   Reactions: MatinSAR, berkeman and Steve4Physics
kuruman said:
... If you know Snell's law of refraction, you will recognize that the lifeguard problem is an illustration of that. The case here is equivalent to grazing incidence where the sine of the angle (relative to a line perpendicular to the shore) at which the lifeguard enters the water is equal to the ratio of his swimming to running speed. ...
The relationship to Snell’s law is an excellent observation.

It may be worth noting explicitly that using standard equations for Snell’s, law, refractive index and critical angle provides an alternative (simpler, non-calculus) method to solve the problem.

The ‘refractive index’ is ##n = \frac {v_1}{v_2}##. The 'critical angle' is ##\theta_c = \sin^{-1} \left(\frac 1n \right)##.

(With ##v_1 = 8##m/s and ##v_2= \frac 83##m/s this gives ##n=3## and ##\theta_c = \sin^{-1} \left( \frac 13 \right) = 19.47^o##.)

The lemgth of each each leg and hence the time for each leg are then easily calculated.

Edited as too much detail given originally.
 
Last edited:
  • Like
Likes   Reactions: MatinSAR
Steve4Physics said:
It may be worth noting explicitly that using standard equations for Snell’s, law, refractive index and critical angle provides an alternative (simpler, non-calculus) method to solve the problem.
I am not so sure that this is not a circular argument because when Snell's law is derived from Fermat's principle, it requires minimization of the total time which is normally done by differentiation. When I taught algebra-based intro physics, the textbook I used just decreed Snell's law asserting that the derivation requires calculus which is beyond the scope of this book. I thought I could do better. I show the derivation below for what it's worth. It uses a variational principle which is not exactly calculus.

Refer to the figure below. We are looking for the path from point A in sand where the speed is ##v_1## to point B in water where the speed is ##v_2##. Let's assume that we have found the optimum point of crossing from sand to water and label it C. It divides the fixed horizontal displacement of the lifeguard into two segments ##x_1## and ##x_2##. The optimum time from A to B is $$T_o=T_{1o}+T_{2o}=\frac{\sqrt{d_1^2+x_1^2}}{v_1}+\frac{\sqrt{d_2^2+x_2^2}}{v_2}.$$
LifeguardPath.png


Now suppose we move the crossing point to, say, the left of point C by an amount ##\delta.## This will add ##\delta## to ##x_2## and subtract ##\delta## rom ##x_1##. The new total time will be longer and given by$$T=T_{1}+T_{2}=\frac{\sqrt{d_1^2+(x_1-\delta)^2}}{v_1}+\frac{\sqrt{d_2^2+(x_2+\delta)^2}}{v_2}.$$The difference between times on sand is $$\delta T_1=T_{1}-T_{1o}=\frac{1}{v_1}\left[\sqrt{d_1^2+(x_1-\delta)^2}-\sqrt{d_1^2+x_1^2}\right].$$Using the identity ##a-b=\dfrac{a^2-b^2}{a+b}##, we have $$\delta T_1=\frac{1}{v_1}\left[\frac{d_1^2+(x_1-\delta)^2-(d_1^2+x_1^2)}{\sqrt{d_1^2+(x_1-\delta)^2}+\sqrt{d_1^2+x_1^2}}\right]=\frac{1}{v_1}\left[\frac{-2x_1\delta+\delta^2}{\sqrt{d_1^2+(x_1-\delta)^2}+\sqrt{d_1^2+x_1^2}}\right].$$Up to this point the calculation is exact. For ##\delta << x_1## we approximate $$\delta T_1\approx\frac{-x_1\delta}{v_1\sqrt{d_1^2+x_1^2}}.$$Likewise we find $$\delta T_2\approx\frac{x_2\delta}{v_2\sqrt{d_2^2+x_2^2}}.$$ The path is optimized when a loss of time in one medium is compensated by a gain of time in the other, i.e. ##\delta T_1+\delta T_2=0.## Then

$$\frac{-x_1\delta}{v_1\sqrt{d_1^2+x_1^2}}+\frac{x_2\delta}{v_2\sqrt{d_2^2+x_2^2}}=0\implies \frac{\sin\theta_1}{v_1}=\frac{\sin\theta_2}{v_2}.$$

On edit:
It seems that ants have some basic understanding of the lifeguard problem and Fermat's principle as reported here. That's what I thought initially, until I noted that the publication date on this piece is April 1, 2013. :wink:

On second edit:
And then came post #9 by @Steve4Physics.
 
Last edited:
  • Like
  • Informative
Likes   Reactions: MatinSAR, Steve4Physics and berkeman
kuruman said:
I am not so sure that this is not a circular argument because when Snell's law is derived from Fermat's principle, it requires minimization of the total time which is normally done by differentiation.
I just wanted to point out that by using an established result (Snell’s law), the problem could be solved easily.

Of course, if the presumption of Snell’s law is not permissible, then the approach is inappropriate.

kuruman said:
It seems that ants have some basic understanding of the lifeguard problem and Fermat's principle as reported here. That's what I thought initially, until I noted that the publication date on this piece is April 1, 2013. :wink:
Remarkably, the ‘ants obey Fermat’s principle’ may be genuine! The original article appears to have been published on the 20th March 2013: https://journals.plos.org/plosone/article/metrics?id=10.1371/journal.pone.0059739
 
  • Like
Likes   Reactions: MatinSAR and kuruman

Similar threads

  • · Replies 6 ·
Replies
6
Views
1K
Replies
2
Views
1K
  • · Replies 9 ·
Replies
9
Views
2K
  • · Replies 8 ·
Replies
8
Views
2K
Replies
25
Views
2K
  • · Replies 13 ·
Replies
13
Views
2K
Replies
8
Views
1K
  • · Replies 4 ·
Replies
4
Views
1K
  • · Replies 3 ·
Replies
3
Views
2K
  • · Replies 21 ·
Replies
21
Views
4K