Sum(from 1 to infinity) of 8 / x^2(4+ln(x))

  • Context: Graduate 
  • Thread starter Thread starter rick906
  • Start date Start date
  • Tags Tags
    Infinity
Click For Summary

Discussion Overview

The discussion revolves around the convergence of the series defined by the sum from 1 to infinity of 8 / (x^2(4 + ln(x))). Participants explore various techniques for evaluating the sum, including integration and comparison tests, while expressing uncertainty and confusion about the methods and results.

Discussion Character

  • Exploratory
  • Technical explanation
  • Debate/contested
  • Mathematical reasoning

Main Points Raised

  • One participant expresses difficulty in solving the sum and seeks assistance.
  • Another suggests that the series can be integrated in terms of the exponential integral, noting slow convergence.
  • A different participant proposes using integration by parts to evaluate the integral related to the sum.
  • There is a clarification regarding the notation used for sums versus integrals, with some confusion about the correct approach.
  • Several participants discuss the application of the comparison test, with one asserting it works for this series.
  • Another participant mentions using Mathematica to compute the sum and expresses uncertainty about the convergence of their results.
  • One participant reflects on the nature of convergence tests and whether the goal was to determine convergence or to find a numerical value for the sum.
  • There are discussions about the Riemann zeta function and its properties, with some participants questioning the implications of its values for convergence.
  • A participant suggests expanding the zeta function around s = 2 to compute the summation exactly.
  • There is a back-and-forth about the correctness of steps taken in the calculations, with some participants confirming the validity of the reasoning presented.
  • Another participant expresses confusion regarding the relationship between the zeta function and the series in question.

Areas of Agreement / Disagreement

Participants generally agree that the series converges, but there are multiple competing views on the methods to evaluate it and the implications of the zeta function. The discussion remains unresolved regarding the best approach to compute the sum and the understanding of certain mathematical concepts.

Contextual Notes

Some participants express uncertainty about the techniques they have learned and whether they are applicable in this context. There are also references to specific mathematical properties and functions that may not be familiar to all participants.

Who May Find This Useful

This discussion may be useful for students or individuals interested in series convergence, mathematical techniques for evaluating sums, and the properties of the Riemann zeta function.

rick906
Messages
12
Reaction score
0
Hi all,
I'm stuck on this problem, I can't solve it :confused:
Sum(from 1 to infinity) of 8 / x^2(4+ln(x))

Does anybody have the fainest idea of how to solve?
Thanks all
 
Physics news on Phys.org
It can be integrated in terms of the exponential integral, and an initial portion can be calculated directly. Unfortunately this is still very slow to converge.
 
You could try to integrate the expession indefinitely using integration by parts and then apply the limits.
 
Do you mean sum or integral? I know you wrote sum but usually use i,n,j etc for sums, and x for a real valued variable that you integrate over.
 
Oh sorry,it is a sum, not an integral, I don't know why I put x instead of n.

I'm not sure to understand what you people mean by 'integrate and then apply the sum'
Technics I have learned for solving a sum are : Reinman (p-series), the integral test, comparision test, ratio test, the n^th root test and those for alternating series.

I've tried with all of them... nothing worked.
However, the one that seemed the most possible was the integral test (was that what you were talking about?). So, I've checked that f(x)>0, f(x) is continuous and that it decreases at a point. Unfortunately, I'm not able to do the integral... even mathematica gives me strange things (see attachment).

Anyone's got a lead? Or maybe a technic I'm not aware of?
Thanks
 

Attachments

  • integral.PNG
    integral.PNG
    630 bytes · Views: 501
Comparison test works here.
 
Mathematica gave you an answer in terms of the exponential integral, as I mentioned in my first post. (I also used Math'ca to solve it. :shy:) I summed the first ten million terms then applied the integral over the rest, but I'm not sure how good my convergence was since the area seemed to grow significantly (> 1e-6 as I recall) when I moved from the first million to ten million; I expected the integral would have done a better job as estimator.
 
Well um Rick, look solving a sum means to find what numerical value it converges to.

You said that you wanted to solve the sum and not an integral (but then contradicted yourself by posting an integral from mathematica!) but then went on to mention convergence tests?

Look did you really mean to say that you wanted to decide if the series converges or not?
 
The integral seems 'obviously' applicable here, as a slight transformation of the integral (plus some finite computation, if you want a better answer) can give bounds on the sum, since the function is strictly decreasing over the range.

Here's the bound I have (check this before using!) for f(x) strictly decreasing:
[tex]\int_n^{\infty}f(x)dx<\sum_{k=n}^{\infty}f(k)<f(n)+\int_n^{\infty}f(x)dx[/tex]

So take the sum up to n-1 for some n, then add the integral; that gives the lower bound, and adding f(n) gives the upper bound.
 
  • #10
Hi back
Look did you really mean to say that you wanted to decide if the series converges or not?
Ouh, I was so nervous that I forgot to mention : yes, I'd like to know if the sum converges or diverges.

As for CRGreathouse, I haven't learned that technic, so I'm not sure if the teacher will allow me to use it in a test.

Vid says
Comparison test works here.
I've tried it many times, can you please tell me what have you compared it to.

Thanks again all, I appreciate your fast replies.
Rick
 
  • #11
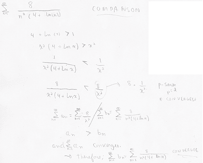
8/(x^2(4+ln(x)) < 8/x^2
 
  • #12
Ouhhh
It's so true. I had totally forgotten that p-series with p>1 converges (I thought it was the opposite!)
So I think the problem is solve thanks to you all (especially Vid) and I've scanned the problem, if anyone could just check if everything's alright, it'd be really great (attachment).

Thanks (infinite thanks, that is)
Rick
 

Attachments

  • was-about-to-commit-suicide.PNG
    was-about-to-commit-suicide.PNG
    52 KB · Views: 559
  • #13
Wait, you just wanted to see if it converged? I assumed that it converged from the beginning as a first step toward calculating it -- it's clearly less than [itex]8\zeta(2)[/itex] as Vid said.
 
  • #14
Well, yes, I only wanted to know if it converges.
I wonder how you knew it from the beginning...maybe something I have not learned yet...
By the way, I really do not understand those signs... maybe this is the notion I do not know.

Anyway, are my steps and my result right?
Thanks again dudes.
 
  • #16
Thanks, it confirms that this is something we haven`t learned (not yet, anyway).
I find something strange with the Riemann zeta function: it says that:
[itex] \zeta(1)[/itex] = infinity ok we know this one because it's the harmonic serie (p`s equal or smaller than 1 diverge)
but then, [itex] \zeta(0.5) = 1.46...[/itex] is that not supposed to be a p-serie with p=0.5 and, therefore, diverge?
This really confusses me.
Otherwise, if you could confirm my steps (about 2 posts of mine ago), that would really make me feel more confident about that.

Thanks again to all of you.
 
Last edited:
  • #17
You can compute the summation exactly. I'll give you a hint. Expand the zeta function [tex]\zeta(s)[/tex] around s = 2. You also know that

[tex]\zeta(2 + \epsilon) = \sum_{n=1}^{\infty}\frac{1}{n^{2+\epsilon}}[/tex]

Now expand the summand to first order in epsilon. :cool:
 
  • #18
Well, they use some clever trick to define the Riemann Zeta functions where it normally isn't defined. The summation definition only works for real numbers > 1.
 
  • #19
Therefore, it's right (for my level of knowledge, at least) just to say that Sum of 1/n (and n power of something smaller than 1) diverges?

Count Iblis, I would have done what you are saying if I had understood it :smile: In fact, I don`t know that zeta series quite well now (learned about it 5 mins ago :rolleyes:) But hey, thanks anyway !

Also, have you people check my steps (about 3 posts back now), it's an attached image.

Thanks Thanks Thanks.
 
  • #20
Can anybody just check my solution and tell me if all the steps are OK or if there is a mistake somewhere...and of course check the result... please

Thanks :wink:
 
  • #21
rick906 said:
Can anybody just check my solution and tell me if all the steps are OK or if there is a mistake somewhere...and of course check the result... please

Thanks :wink:

I thought your solution was excellent. Correct reasoning, step by step logic, no holes, presented linearly from the beginning. It's fantastic. The only thing was that you could have written "by the comparison test..." but I think it's good.
 
  • #22
Thanks dude!
Just one thing: you said you 'Thought' it was correct... did you mean you 'think' it's correct or that you thought it was but then you noticed a mistake?

Lol, I know it was linearly presented, but usually it just ain't that way... I made an effort of presentation on this one :smile:

Thanks again
 
  • #23
No mistake it's fine.
 
  • #24
Thank you, I was really worried about this problem, now I feel better :)
I'd like to thank everyone for helping me solving this problem (which doesn't look hard anymore).

Hope that I'll be able to help other people on this forum.
 
  • #25
Count Iblis said:
You can compute the summation exactly. I'll give you a hint. Expand the zeta function [tex]\zeta(s)[/tex] around s = 2. You also know that

[tex]\zeta(2 + \epsilon) = \sum_{n=1}^{\infty}\frac{1}{n^{2+\epsilon}}[/tex]

Now expand the summand to first order in epsilon. :cool:

I'm curious. How do you get from the crude [tex]n^\epsilon[/tex] to [tex]\log n[/tex]?
 
  • #26
The derivative of the Riemann-Zeta function has a log n term and it appears when you Taylor expand the fn as he suggested doing. The only thing is that the log n term appears in the numerator, I wonder how you watch it to the original series? Well the derivative of the Riemann-Zeta function at 2 is known exactly if you can end up matching that series with the original.
 
  • #27
Yes, I was wrong. The factor 4+ln(n) has to be in the numerator for this to work. See also http://mathworld.wolfram.com/Glaisher-KinkelinConstant.html"
 
Last edited by a moderator:

Similar threads

  • · Replies 15 ·
Replies
15
Views
4K
  • · Replies 20 ·
Replies
20
Views
3K
  • · Replies 1 ·
Replies
1
Views
2K
  • · Replies 5 ·
Replies
5
Views
3K
  • · Replies 3 ·
Replies
3
Views
2K
  • · Replies 6 ·
Replies
6
Views
1K
  • · Replies 14 ·
Replies
14
Views
4K
  • · Replies 3 ·
Replies
3
Views
3K
  • · Replies 5 ·
Replies
5
Views
1K
  • · Replies 1 ·
Replies
1
Views
3K