Switch the divergence coordinate system

Click For Summary
SUMMARY

The discussion focuses on converting the divergence operator from Cartesian coordinates (x, y, z) to cylindrical coordinates (r, φ, z). The divergence in Cartesian form is expressed as ∂A_x/∂x + ∂A_y/∂y + ∂A_z/∂z. Participants suggest using the chain rule for this transformation, emphasizing the need for clarity in the steps taken to ensure accurate results. The conversation highlights the importance of showing work to diagnose errors in the conversion process.

PREREQUISITES
  • Understanding of vector calculus, specifically divergence
  • Familiarity with coordinate systems, particularly Cartesian and cylindrical coordinates
  • Knowledge of the chain rule in calculus
  • Ability to perform partial derivatives
NEXT STEPS
  • Study the transformation equations between Cartesian and cylindrical coordinates
  • Learn how to apply the chain rule in vector calculus
  • Practice converting divergence and gradient expressions between different coordinate systems
  • Explore examples of divergence in cylindrical coordinates for better comprehension
USEFUL FOR

Students and professionals in mathematics, physics, and engineering who are working with vector fields and need to understand coordinate transformations, particularly in the context of fluid dynamics and electromagnetism.

oronanschel
Messages
13
Reaction score
0

Homework Statement


i have the divergence in the (x,y,z) Cartesian as \frac{dA_x}{dx}+\frac{dA_y}{dy}+\frac{dA_z}{dz}

and the assignment is to transfer it to cylindrical system (r,{\phi},z), by any way i choose.



Homework Equations




tried with the chain rule, but i am doing something wrong, though
i get the gradient in the cylindrical system
 
Physics news on Phys.org
It is impossible to tell you what, if anything, you are doing wrong if we cannot see what you did!
 
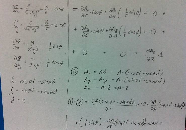
look at 1 then 2

then there is 1+2

in the left side there are some derivatives , and variables
transformation to explain


MHSzN.jpg

S092v.jpg

DVjvJ.jpg
 

Similar threads

  • · Replies 4 ·
Replies
4
Views
2K
  • · Replies 4 ·
Replies
4
Views
2K
  • · Replies 6 ·
Replies
6
Views
4K
  • · Replies 2 ·
Replies
2
Views
2K
  • · Replies 7 ·
Replies
7
Views
2K
  • · Replies 1 ·
Replies
1
Views
2K
  • · Replies 8 ·
Replies
8
Views
2K
  • · Replies 7 ·
Replies
7
Views
2K
Replies
8
Views
3K
  • · Replies 3 ·
Replies
3
Views
2K