Taylor Series Expansion Confusion

Click For Summary

Homework Help Overview

The discussion revolves around the Taylor series expansion in the context of deriving the Boltzmann distribution using a canonical ensemble in thermodynamics. Participants are exploring the differentiation of functions related to the number of microstates and the implications of the expansion around specific points.

Discussion Character

  • Exploratory, Conceptual clarification, Mathematical reasoning, Assumption checking

Approaches and Questions Raised

  • Participants are analyzing the Taylor series and its application to the function representing the logarithm of the number of microstates. There is confusion regarding the variable with respect to which differentiation is performed, particularly whether it is with respect to energy or another parameter. Some participants suggest that the expansion should be centered around energy rather than zero.

Discussion Status

There is an ongoing exploration of the Taylor series and its application, with participants questioning their assumptions and interpretations. Some have offered insights into the differentiation process, while others express uncertainty about their methods and seek clarification on specific steps.

Contextual Notes

Participants are navigating the complexities of differentiating functions in the context of thermodynamic ensembles, with specific attention to the implications of constant energy and the nature of the variables involved. There is an acknowledgment of potential constraints in the assumptions being made.

laser1
Messages
170
Reaction score
23
Homework Statement
description
Relevant Equations
.
Screenshot_1.png

For context, this is when deriving the Boltzmann distribution by using a canonical ensemble (thermodynamics).

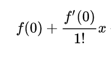
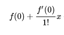
omega is a function to represent number of microstates. According to wikipedia...

Screenshot_2.png

is the first order expansion around 0 (Maclaurin series).

My confusion: What are even differentiating with respect to? It seems like we are differentiating with respect to E, but then the epsilon looks like the "x" in the Maclaurin formula. I have more questions, but I'll leave it at this to avoid confusion for now. Thanks!
 
Physics news on Phys.org
Let's analyze it from behind. The Taylor series of a function ##f(x)## at a point ##a## is given by
$$
T(f,x,a)=\sum_{n\ge 0} \dfrac{f^{(n)}(a)}{n!}(x-a)^n=f(a)+f'(a)(x-a)+O((x-a)^2)
$$
For ##f(a)## we have ##f(a)=\ln \Omega(E),## i.e. ##a=E.## Then
$$
f'(a)(x-a)=f'(E)(x-E)=\dfrac{d\ln \Omega(E)}{dx}(x-E)
$$
which means the variable is ##x=-\varepsilon + E## and the second term of the series becomes
$$
f'(E)\cdot((-\varepsilon+E)-E)=\dfrac{d\ln \Omega(E)}{d(E-\varepsilon)}(-\varepsilon+E-E)=-\dfrac{d\ln \Omega(E)}{d(E-\varepsilon)}\varepsilon
$$
We have ##d(E-\varepsilon)=dE - d\varepsilon## and with ##\varepsilon## being a constant we have ##d\varepsilon = 0.##
Proof:
\begin{align*}
\dfrac{df(E)}{d(E-\varepsilon)}&=\dfrac{df((E-\varepsilon)+\varepsilon)}{d(E-\varepsilon)}=\dfrac{df(y+\varepsilon)}{dy}\\[6pt]
&=\dfrac{df(y+\varepsilon)}{d(y+\varepsilon)}\cdot \underbrace{\dfrac{d(y+\varepsilon)}{dy}}_{=1}\\[6pt]
&=\dfrac{df(E)}{dE}
\end{align*}
In total we get
$$
\ln \Omega (E-\varepsilon)=\ln \Omega(E)- \dfrac{d\ln \Omega(E)}{dE}\varepsilon + O(\varepsilon^2)
$$

laser1 said:
I have more questions, ...
Which?
 
Last edited:
  • Like
Likes   Reactions: laser1
laser1 said:
According to wikipedia...

View attachment 351220
is the first order expansion around 0 (Maclaurin series).

It looks like they are really expanding around ##E##, not around 0. The function and derivative are evaluated at ##E##. The Maclaurin series is too specialized (centered at ##x_0=0##) to give a good match to your equation. You should compare it to the more general Taylor series. ##f(a)+\frac {f'(a)}{1!}(x-a)+...##. Then ##E=a##, ##E-\epsilon=x##, and ##-\epsilon=x-a##.
laser1 said:
My confusion: What are even differentiating with respect to? It seems like we are differentiating with respect to E,
That is correct.
 
  • Like
Likes   Reactions: laser1
@fresh_42 Thank you, that makes sense. I also tried differentiating it with respect to epsilon around 0 and got this, but I am stuck at this step:
WhatsApp Image 2024-09-18 at 08.21.10.jpeg
 
laser1 said:
@fresh_42 Thank you, that makes sense. I also tried differentiating it with respect to epsilon around 0 and got this, but I am stuck at this step:

Apply the chain rule.
 
  • Like
Likes   Reactions: laser1
pasmith said:
Apply the chain rule.
WhatsApp Image 2024-09-21 at 21.30.38.jpeg


I did it a few days ago and was happy, but upon closer examination: I suspect dE/d(epsilon) = -1 only if the total energy of the ensemble is a constant.

Any idea where I have gone wrong with my second method?
 
laser1 said:
View attachment 351397

I did it a few days ago and was happy, but upon closer examination: I suspect dE/d(epsilon) = -1 only if the total energy of the ensemble is a constant.

Any idea where I have gone wrong with my second method?
I don't think that you made a mistake.
\begin{align*}
\left.\dfrac{d\Omega(E-\varepsilon)}{d\varepsilon}\right|_{\varepsilon=0}&=\left.\dfrac{d\Omega(E-\varepsilon)}{d(E-\varepsilon)}\right|_{E-\varepsilon=E}\cdot \left.\dfrac{d(E-\varepsilon)}{d\varepsilon}\right|_{\varepsilon=0}\\
&=\left.\dfrac{d\Omega(E-\varepsilon)}{d(E-\varepsilon)}\right|_{E-\varepsilon=E}\cdot\left\{\underbrace{\left.\dfrac{dE}{d\varepsilon}\right|_{\varepsilon=0}}_{=0}+\underbrace{\left.\dfrac{d(-\varepsilon)}{d\varepsilon}\right|_{\varepsilon=0}}_{=-1}\right\}\\
&=-\left.\dfrac{d\Omega(E-\varepsilon)}{d(E-\varepsilon)}\right|_{E-\varepsilon=E}
\end{align*}
The trick is now that it doesn't matter how you call your variables. We simply have
$$
-\left.\dfrac{d\Omega(E-\varepsilon)}{d(E-\varepsilon)}\right|_{E-\varepsilon=E}=-\left.\dfrac{d\Omega(x)}{dx}\right|_{x=E}=-\left.\dfrac{d\Omega(E)}{dE}\right|_{E}=-\dfrac{d\Omega(E)}{dE}
$$
 
  • Wow
Likes   Reactions: laser1

Similar threads

  • · Replies 2 ·
Replies
2
Views
2K
  • · Replies 14 ·
Replies
14
Views
3K
  • · Replies 4 ·
Replies
4
Views
2K
  • · Replies 8 ·
Replies
8
Views
3K
  • · Replies 5 ·
Replies
5
Views
3K
  • · Replies 8 ·
Replies
8
Views
3K
  • · Replies 1 ·
Replies
1
Views
7K
  • · Replies 3 ·
Replies
3
Views
4K
  • · Replies 4 ·
Replies
4
Views
3K
  • · Replies 11 ·
Replies
11
Views
3K