Taylor's Theorem .... Loring W. Tu, Lemma 1.4 .... ....

  • Context: MHB 
  • Thread starter Thread starter Math Amateur
  • Start date Start date
  • Tags Tags
    Theorem
Click For Summary
SUMMARY

The forum discussion centers on Loring W. Tu's "An Introduction to Manifolds" (Second Edition), specifically addressing the proof of Lemma 1.4, which pertains to Taylor's Theorem with Remainder. Key points include the transition from $\mathbb{R}^n$ to $\mathbb{R}$ when $n=1$, and the application of the lemma to derive the equation $g_i(x) = g_i(0) + x g_{i+1}(x)$. The discussion clarifies that the proof involves repeatedly applying the lemma to obtain the $i+1$st order Taylor polynomial, emphasizing the distinction between vector coordinates and single-variable powers.

PREREQUISITES
  • Understanding of Taylor's Theorem
  • Familiarity with single-variable calculus
  • Knowledge of vector spaces, specifically $\mathbb{R}^n$
  • Basic concepts of mathematical proofs and lemmas
NEXT STEPS
  • Study the derivation of Taylor's Theorem with Remainder in detail
  • Explore the application of Taylor series in single-variable calculus
  • Review the properties and applications of functions in $\mathbb{R}^n$
  • Investigate the implications of applying mathematical lemmas in proofs
USEFUL FOR

Mathematicians, students of advanced calculus, and anyone interested in understanding the intricacies of Taylor's Theorem and its applications in manifold theory.

Math Amateur
Gold Member
MHB
Messages
3,920
Reaction score
48
I am reading Loring W.Tu's book: "An Introduction to Manifolds" (Second Edition) ...

I need help in order to fully understand the proof of Tu's Lemma 1.4: Taylor's Theorem with Remainder ...

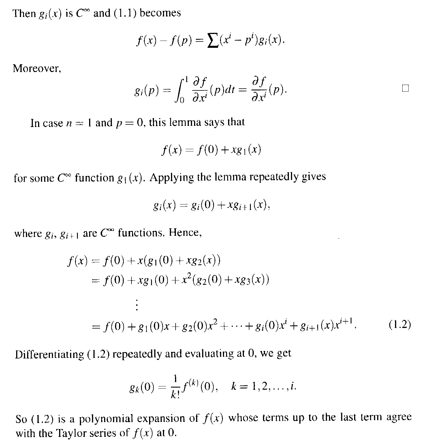
Lemma 1.4 reads as follows:View attachment 8631
View attachment 8632
My questions are as follows:Question 1

In the above text from Tu we read the following:

" ... ... In case $$n = 1$$ and $$p = 0$$, this lemma says that

$$f(x) = f(0) + x g_1(x)$$ ... ... "Now Tu seems to put $$n= 1$$ in the equation in the lemma but does not change $$\mathbb{R}^n$$ to $$\mathbb{R}^1$$ and does not change $$x = (x^1, x^2, \ ... \ ... \ x^n)$$ to $$x = (x^1)$$ ... ... How can this be valid?Question 2In the above text from Tu we read the following:

" ... ... Applying the lemma repeatedly gives $$g_i(x) = g_i(0) + x g_{ i + 1 } (x)$$ ... ... "How exactly does Tu arrive at the above equation ... I take it he puts $$f = g_i$$ and he pits p = 0 ... but how does he get $$x g_{ i + 1 } (x)$$ out of the summation term .. ? ( ... note that it is the i + 1 term in g_{ i + 1 } that I find puzzling ... )
Question 3I must say that generally I am having trouble following the overall 'strategy' of the proof ... can it be summarised as transforming the equations of the lemma into a valid Taylor series ...?

... ... but mind you he only seems to show this for $$p= 0$$?
Hope someone can help ...?

Peter
 

Attachments

  • Tu - 1 -  Lemma 1.4 ... ... PART 1 ... .png
    Tu - 1 - Lemma 1.4 ... ... PART 1 ... .png
    19.9 KB · Views: 149
  • Tu - 2 -  Lemma 1.4 ... ... PART 2 ... .png
    Tu - 2 - Lemma 1.4 ... ... PART 2 ... .png
    16.7 KB · Views: 149
Physics news on Phys.org
Hi Peter,

Before answering your questions directly, I think it is worth noting the difference between when $x^{i}$ represents the $i$th coordinate of the vector $x=(x^{1}, x^{2}, \ldots, x^{n})$ versus when $x^{i}$ is taken to mean the single variable $x$ raised to the $i$th power. In the proof of the lemma it is the former, in the justification of the result after the lemma (e.g., see equation (1.2)), it is the latter.

Peter said:
Question 1
Now Tu seems to put $$n= 1$$ in the equation in the lemma but does not change $$\mathbb{R}^n$$ to $$\mathbb{R}^1$$ and does not change $$x = (x^1, x^2, \ ... \ ... \ x^n)$$ to $$x = (x^1)$$ ... ...

How can this be valid?

The change from $\mathbb{R}^{n}$ to $\mathbb{R}$ has occurred (the superscript $x^{1}$ is dropped and he just writes $x$ when in $\mathbb{R}$) as evidenced by the equation $$f(x)=f(0)+xg_{1}(x).$$ Had he been working in $\mathbb{R}^{n}$ this would instead be written as $$f(x) = f(0) + x^{1}g_{1}(x) + x^{2}g_{2}(x) +\cdots + x^{n}g_{n}(x),$$ where $x=(x^{1}, x^{2},\ldots, x^{n}).$
Peter said:
Question 2
How exactly does Tu arrive at the above equation ... I take it he puts $$f = g_i$$ and he pits p = 0 ... but how does he get $$x g_{ i + 1 } (x)$$ out of the summation term .. ? ( ... note that it is the i + 1 term in g_{ i + 1 } that I find puzzling ... )

You are correct here by taking $f=g_{i}$ and reapplying the lemma in the case of $\mathbb{R}^{1},$ nicely done. There is no summation because, in this case, $g_{i}(x)$ is a function of a single variable. As mentioned above, the powers of $x$ in equation (1.2) are exponents on the single variable $x$ and do not represent coordinates of a vector.

Peter said:
Question 3
I must say that generally I am having trouble following the overall 'strategy' of the proof ... can it be summarised as transforming the equations of the lemma into a valid Taylor series ...?

... ... but mind you he only seems to show this for $$p= 0$$?

I would say that it is the direct application of the lemma to the case where $n=1$, $p=0$ repeated over and over again on the sequence of functions $g_{i}(x)$ to obtain the $i+1$st order Taylor polynomial from single-variable calculus.

Let me know if anything is still unclear.
 
GJA said:
Hi Peter,

Before answering your questions directly, I think it is worth noting the difference between when $x^{i}$ represents the $i$th coordinate of the vector $x=(x^{1}, x^{2}, \ldots, x^{n})$ versus when $x^{i}$ is taken to mean the single variable $x$ raised to the $i$th power. In the proof of the lemma it is the former, in the justification of the result after the lemma (e.g., see equation (1.2)), it is the latter.
The change from $\mathbb{R}^{n}$ to $\mathbb{R}$ has occurred (the superscript $x^{1}$ is dropped and he just writes $x$ when in $\mathbb{R}$) as evidenced by the equation $$f(x)=f(0)+xg_{1}(x).$$ Had he been working in $\mathbb{R}^{n}$ this would instead be written as $$f(x) = f(0) + x^{1}g_{1}(x) + x^{2}g_{2}(x) +\cdots + x^{n}g_{n}(x),$$ where $x=(x^{1}, x^{2},\ldots, x^{n}).$

You are correct here by taking $f=g_{i}$ and reapplying the lemma in the case of $\mathbb{R}^{1},$ nicely done. There is no summation because, in this case, $g_{i}(x)$ is a function of a single variable. As mentioned above, the powers of $x$ in equation (1.2) are exponents on the single variable $x$ and do not represent coordinates of a vector.
I would say that it is the direct application of the lemma to the case where $n=1$, $p=0$ repeated over and over again on the sequence of functions $g_{i}(x)$ to obtain the $i+1$st order Taylor polynomial from single-variable calculus.

Let me know if anything is still unclear.

All clear now, thanks GJA ...

I appreciate your most helpful post ...

Peter
 

Similar threads

  • · Replies 1 ·
Replies
1
Views
3K
  • · Replies 2 ·
Replies
2
Views
2K
Replies
2
Views
2K
  • · Replies 2 ·
Replies
2
Views
2K
  • · Replies 4 ·
Replies
4
Views
2K
  • · Replies 2 ·
Replies
2
Views
3K
  • · Replies 5 ·
Replies
5
Views
2K
  • · Replies 2 ·
Replies
2
Views
3K
Replies
2
Views
2K
  • · Replies 1 ·
Replies
1
Views
3K