Tangent Vectors in R^n as Derivations ....

Click For Summary
SUMMARY

This discussion focuses on the concept of tangent vectors in $$\mathbb{R}^n$$ as derivations, as presented in Loring W. Tu's book "An Introduction to Manifolds" (Second Edition). The key takeaway is that tangent vectors can be understood as linear functionals on the space of $$C^{\infty}$$ functions, rather than merely geometric arrows. The discussion clarifies that the domain of these functions is $$\mathbb{R}^n$$ and their range is indeed $$\mathbb{R}$$, as $$C^{\infty}$$ functions are defined to be real-valued. This understanding is essential for applying differential calculus concepts to abstract manifolds.

PREREQUISITES
  • Understanding of $$C^{\infty}$$ functions
  • Familiarity with differential calculus in $$\mathbb{R}^n$$
  • Knowledge of tangent spaces and vectors
  • Basic concepts of abstract manifolds
NEXT STEPS
  • Study the properties of $$C^{\infty}$$ functions in detail
  • Learn about tangent spaces in the context of abstract manifolds
  • Explore the concept of directional derivatives and their applications
  • Investigate the relationship between linear functionals and tangent vectors
USEFUL FOR

Mathematicians, students of differential geometry, and anyone interested in the theoretical foundations of manifolds and tangent vectors.

Math Amateur
Gold Member
MHB
Messages
3,920
Reaction score
48
I am reading Loring W.Tu's book: "An Introduction to Manifolds" (Second Edition) ...

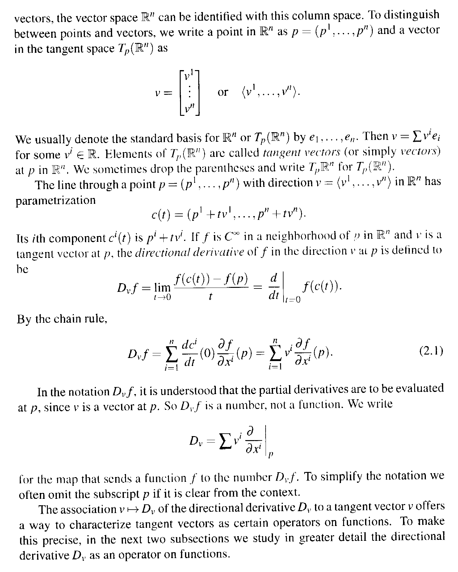
I need help in order to fully understand Tu's section on tangent vectors in $$\mathbb{R}^n$$ as derivations... In his section on tangent vectors in \mathbb{R}^n as derivations, Tu writes the following:View attachment 8637
View attachment 8638In the above text from Tu we read the following:

" ... ... If $$f$$ is $$C^{ \infty }$$ in a neighborhood of $$p$$ in $$\mathbb{R}^n$$ and $$v$$ is a tangent vector at $$p$$, the directional derivative of $$f$$ in the direction of $$p$$ ... ... "

My questions are as follows:
Question 1

What are these functions $$f$$ that Tu is introducing ... and further, what is the point of them ... ?
Question 2

The domain of $$f$$ is clearly $$\mathbb{R}^n$$ ... BUT ... what is the range of $$f$$ ... I am guessing it is $$\mathbb{R}$$ ... is that correct ... but why is $$f$$ real-valued?
Hope that someone can clarify these issues ...

Peter
 

Attachments

  • Tu - 1 - Start of Section 2.1 ... PART 1 .png
    Tu - 1 - Start of Section 2.1 ... PART 1 .png
    3.7 KB · Views: 148
  • Tu - 2 - Start of Section 2.1 ... PART 2 ... .png
    Tu - 2 - Start of Section 2.1 ... PART 2 ... .png
    33.6 KB · Views: 133
Physics news on Phys.org
Hi Peter,

Peter said:
Question 1

What are these functions $$f$$ that Tu is introducing ... and further, what is the point of them ... ?

$f$ is a $C^{\infty}$ function on an open set containing the point $p$ (see page 4 of Tu). The point of introducing them is the following: Differential calculus in $\mathbb{R}^{n}$ boils down to basically one idea -- given a differentiable function $f$ at a point $p$ we calculate the linear mapping (i.e. derivative) from the tangent space at $p$ to the tangent space at $f(p)$. In $\mathbb{R}^{n}$ it is natural to define tangent vectors geometrically; i.e., as arrows emanating from a point.

When you are studying an abstract manifold, you want to do exactly the same thing. The problem is that you must now imagine the manifold as an object in its own right and not necessarily some subset of $\mathbb{R}^{n}.$ Because we lose the ambient $\mathbb{R}^{n}$ space, we now have nothing to naturally/geometrically guide our definition of tangent spaces and tangent vectors. Hence, we do what is always done in abstract mathematics: We look to the properties that a known object possesses and formulate a definition of the abstract object using said properties. In the case of tangent vectors, they can be thought of as linear functionals on the space of $C^{\infty}$ functions, as opposed to geometric arrows. How is this done? Through the directional derivative. Tu says this on page 11 when he says that the association of $v$ with $D_{v}$ gives us a way to think of vectors now as operators (instead of arrows). An operator needs an object onto which it acts, and this is the purpose of the $C^{\infty}$ functions $f$ at $p$.

Peter said:
Question 2

The domain of $$f$$ is clearly $$\mathbb{R}^n$$ ... BUT ... what is the range of $$f$$ ... I am guessing it is $$\mathbb{R}$$ ... is that correct ... but why is $$f$$ real-valued?

Tu defines $C^{\infty}$ functions to be real-valued. He uses the word "mapping" when talking about maps between manifolds.
 
GJA said:
Hi Peter,
$f$ is a $C^{\infty}$ function on an open set containing the point $p$ (see page 4 of Tu). The point of introducing them is the following: Differential calculus in $\mathbb{R}^{n}$ boils down to basically one idea -- given a differentiable function $f$ at a point $p$ we calculate the linear mapping (i.e. derivative) from the tangent space at $p$ to the tangent space at $f(p)$. In $\mathbb{R}^{n}$ it is natural to define tangent vectors geometrically; i.e., as arrows emanating from a point.

When you are studying an abstract manifold, you want to do exactly the same thing. The problem is that you must now imagine the manifold as an object in its own right and not necessarily some subset of $\mathbb{R}^{n}.$ Because we lose the ambient $\mathbb{R}^{n}$ space, we now have nothing to naturally/geometrically guide our definition of tangent spaces and tangent vectors. Hence, we do what is always done in abstract mathematics: We look to the properties that a known object possesses and formulate a definition of the abstract object using said properties. In the case of tangent vectors, they can be thought of as linear functionals on the space of $C^{\infty}$ functions, as opposed to geometric arrows. How is this done? Through the directional derivative. Tu says this on page 11 when he says that the association of $v$ with $D_{v}$ gives us a way to think of vectors now as operators (instead of arrows). An operator needs an object onto which it acts, and this is the purpose of the $C^{\infty}$ functions $f$ at $p$.
Tu defines $C^{\infty}$ functions to be real-valued. He uses the word "mapping" when talking about maps between manifolds.

Well .. ! That made sense of things for me!

Thanks for a VERY helpful post, GJA ...

Very much appreciate your help ...

Peter
 

Similar threads

Replies
2
Views
2K
  • · Replies 20 ·
Replies
20
Views
4K
  • · Replies 2 ·
Replies
2
Views
2K
  • · Replies 2 ·
Replies
2
Views
1K
  • · Replies 2 ·
Replies
2
Views
3K
  • · Replies 2 ·
Replies
2
Views
2K
  • · Replies 4 ·
Replies
4
Views
4K
Replies
2
Views
2K
  • · Replies 5 ·
Replies
5
Views
3K
Replies
2
Views
2K