Dual Space .... Loring Tu, Section 3.1, page 19 .... ....

  • Context: MHB 
  • Thread starter Thread starter Math Amateur
  • Start date Start date
  • Tags Tags
    Dual Section Space
Click For Summary
SUMMARY

The discussion centers on Loring W. Tu's book "An Introduction to Manifolds" (Second Edition), specifically Section 3.1 regarding dual spaces. Participants clarify that the basis vectors $$e_1, \ldots, e_n$$ mentioned by Tu are indeed general and not restricted to the standard basis, which is applicable only in $\mathbb{R}^n$. The consensus is that Tu's notation does not imply a specific basis type, and the basis can vary depending on the vector space in question. This understanding is crucial for correctly interpreting Proposition 3.1.

PREREQUISITES
  • Understanding of vector spaces and their properties
  • Familiarity with basis vectors and their representations
  • Knowledge of dual spaces in linear algebra
  • Basic concepts of linear transformations and coordinate systems
NEXT STEPS
  • Study the concept of dual spaces in linear algebra
  • Learn about the implications of different bases in vector spaces
  • Explore the proof of Proposition 3.1 in Loring W. Tu's "An Introduction to Manifolds"
  • Investigate the differences between standard and general bases in various vector spaces
USEFUL FOR

Mathematicians, students of linear algebra, and anyone studying differential geometry will benefit from this discussion, particularly those looking to deepen their understanding of dual spaces and basis representations.

Math Amateur
Gold Member
MHB
Messages
3,920
Reaction score
48
I am reading Loring W.Tu's book: "An Introduction to Manifolds" (Second Edition) ...

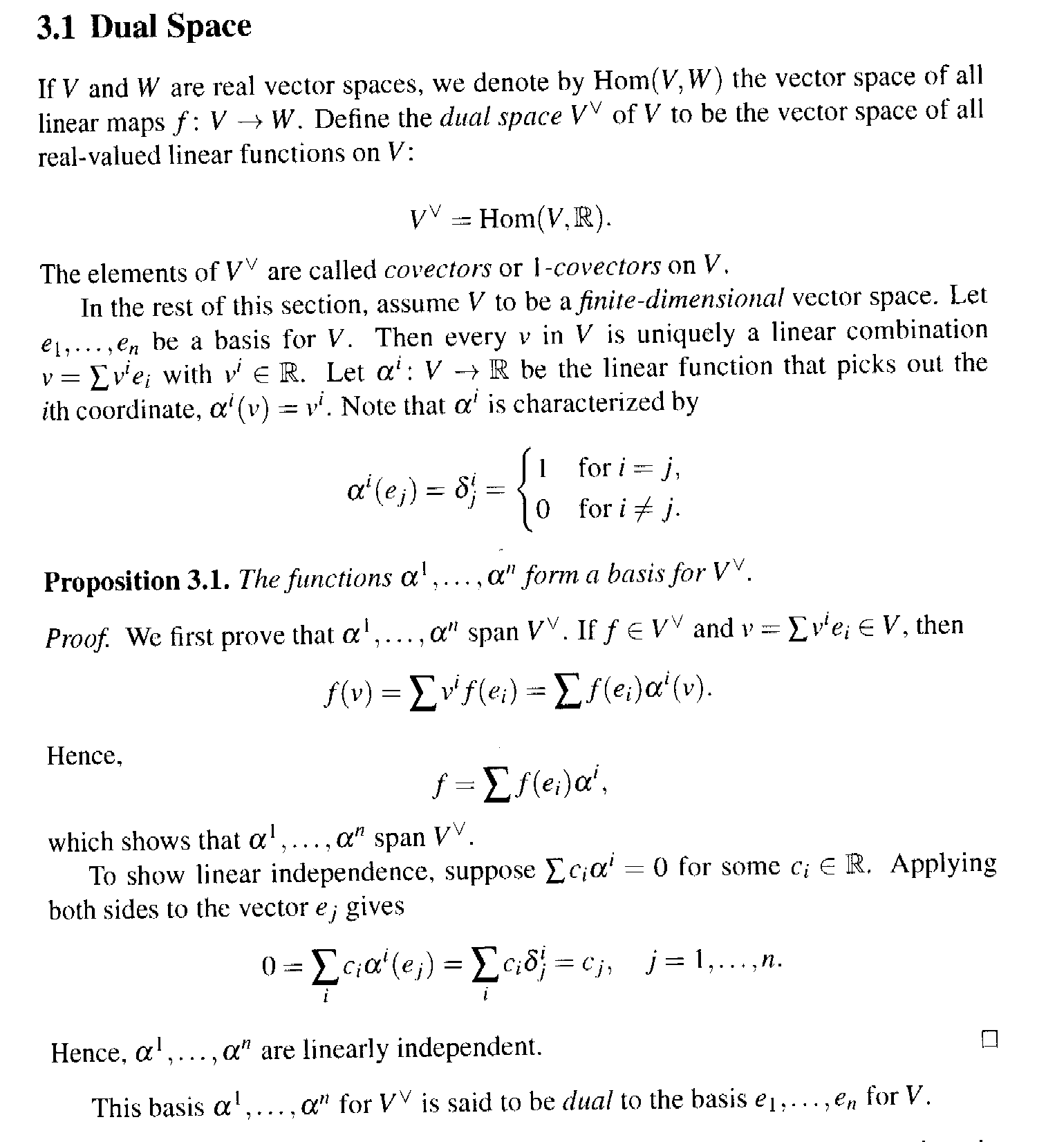
I need help in order to fully understand Tu's section on the dual space ... ... In his section on the dual space, Tu writes the following:
View attachment 8792In the above text from Tu, just preliminary to Proposition 3.1 Tu writes the following:

" ... ... Let $$e_1, \ ... \ ... \ e_n$$ be a basis for $$V$$. ... ... "
Now my question is as follows:Is $$e_1, \ ... \ ... \ e_n$$ a completely general basis ... hence making Proposition 3.1 completely general (in terms of basis anyway) ... or given the notation is $$e_1, \ ... \ ... \ e_n$$ the standard basis where $$e_1 = ( 1, 0, 0, \ ... \ ... \ , 0 )^T , e_2 = ( 0,1, 0, \ ... \ ... \ , 0 )^T , \ ... \ ... \ , \ e_n = ( 0, 0, 0, \ ... \ ... \ , 1 )^T$$ ...I must say I can find no instance in the proof of Proposition 3.1 where the basis $$e_1, \ ... \ ... \ e_n$$ is assumed to be anything but completely general ... but would be appreciative if someone would confirm this to be the case ... ... ( ... hmmm ... pity Tu didn't use $$u_1, u_2, \ ... \ ... \ , u_n$$ as the basis for $$V$$ ... ... )My suspicions about the basis being not general ... but indeed the standard basis ... ... came about on reading the following note on page 11 concerning notation ...

View attachment 8793Hope someone can clarify the above ...

Help will be appreciated ...
 

Attachments

  • Tu - Start of Section 3.1 Dual SPace  ... .png
    Tu - Start of Section 3.1 Dual SPace ... .png
    26.5 KB · Views: 154
  • Tu - Standard Basis for R^n ... Section 2.2, Page 11 .png
    Tu - Standard Basis for R^n ... Section 2.2, Page 11 .png
    5.6 KB · Views: 172
Physics news on Phys.org
Hi Peter,

Glad to hear you're taking a look at Tu, I think it's a good book on the subject.

Peter said:
Is $$e_1, \ ... \ ... \ e_n$$ a completely general basis ... hence making Proposition 3.1 completely general (in terms of basis anyway) ... or given the notation is $$e_1, \ ... \ ... \ e_n$$ the standard basis where $$e_1 = ( 1, 0, 0, \ ... \ ... \ , 0 )^T , e_2 = ( 0,1, 0, \ ... \ ... \ , 0 )^T , \ ... \ ... \ , \ e_n = ( 0, 0, 0, \ ... \ ... \ , 1 )^T$$ ...I must say I can find no instance in the proof of Proposition 3.1 where the basis $$e_1, \ ... \ ... \ e_n$$ is assumed to be anything but completely general ... but would be appreciative if someone would confirm this to be the case ... ... ( ... hmmm ... pity Tu didn't use $$u_1, u_2, \ ... \ ... \ , u_n$$ as the basis for $$V$$ ... ... )My suspicions about the basis being not general ... but indeed the standard basis ... ... came about on reading the following note on page 11 concerning notation ...

When $V$ is an arbitrary vector space there is no such thing as the "standard basis;" i.e., the basis he selects is completely general. When working in $\mathbb{R}^{n}$ there is a standard basis; specifically, the unit vectors in the direction of the coordinate axes (see https://en.wikipedia.org/wiki/Standard_basis). In the case of the Proposition, Tu is just reusing the letter $e$ for the basis, even though there is no such thing as the "standard basis" in this context.
Peter said:
or given the notation is $$e_1, \ ... \ ... \ e_n$$ the standard basis where $$e_1 = ( 1, 0, 0, \ ... \ ... \ , 0 )^T , e_2 = ( 0,1, 0, \ ... \ ... \ , 0 )^T , \ ... \ ... \ , \ e_n = ( 0, 0, 0, \ ... \ ... \ , 1 )^T$$ ...

It is worth mentioning here that the fact that we can express the basis vectors as $e_{1}=(1, 0, 0, \ldots, 0)^{T}, e_{2}=(0, 1, 0, \ldots, 0)^{T},$ etc. has nothing to do with whether $e_{1}, e_{2}, \ldots$ are a "standard basis" for the given vector space or not. For example, consider $\mathbb{R}^{2}.$ Take $u_{1}$ to be the unit vector in the positive $x$-direction and $u_{2}$ to be the unit vector obtained by rotating $u_{1}$ counterclockwise $45^{\circ}$ about the origin. Then $B=\{u_{1},u_{2}\}$ is a basis for $\mathbb{R}^{2}$, which is not the standard basis for $\mathbb{R}^{2}.$ However, the coordinate vector representations of $u_{1}$ and $u_{2}$ with respect to the chosen basis $B$ are given by $u_{1}=(1,0)^{T}$ and $u_{2}=(0,1)^{T},$ because $u_{1}=1\cdot u_{1} +0\cdot u_{2}$ and $u_{2} = 0\cdot u_{1} +1\cdot u_{2}.$ If you prefer, you can add some notation to remind you that you are working with the coordinate vectors with respect to $B$; e.g., $[u_{1}]_{B}=(0,1)^{T}$ and $[u_{2}]_{B}=(0,1)^{T}.$
 
GJA said:
Hi Peter,

Glad to hear you're taking a look at Tu, I think it's a good book on the subject.
When $V$ is an arbitrary vector space there is no such thing as the "standard basis;" i.e., the basis he selects is completely general. When working in $\mathbb{R}^{n}$ there is a standard basis; specifically, the unit vectors in the direction of the coordinate axes (see https://en.wikipedia.org/wiki/Standard_basis). In the case of the Proposition, Tu is just reusing the letter $e$ for the basis, even though there is no such thing as the "standard basis" in this context.

It is worth mentioning here that the fact that we can express the basis vectors as $e_{1}=(1, 0, 0, \ldots, 0)^{T}, e_{2}=(0, 1, 0, \ldots, 0)^{T},$ etc. has nothing to do with whether $e_{1}, e_{2}, \ldots$ are a "standard basis" for the given vector space or not. For example, consider $\mathbb{R}^{2}.$ Take $u_{1}$ to be the unit vector in the positive $x$-direction and $u_{2}$ to be the unit vector obtained by rotating $u_{1}$ counterclockwise $45^{\circ}$ about the origin. Then $B=\{u_{1},u_{2}\}$ is a basis for $\mathbb{R}^{2}$, which is not the standard basis for $\mathbb{R}^{2}.$ However, the coordinate vector representations of $u_{1}$ and $u_{2}$ with respect to the chosen basis $B$ are given by $u_{1}=(1,0)^{T}$ and $u_{2}=(0,1)^{T},$ because $u_{1}=1\cdot u_{1} +0\cdot u_{2}$ and $u_{2} = 0\cdot u_{1} +1\cdot u_{2}.$ If you prefer, you can add some notation to remind you that you are working with the coordinate vectors with respect to $B$; e.g., $[u_{1}]_{B}=(0,1)^{T}$ and $[u_{2}]_{B}=(0,1)^{T}.$[


Thanks for your help, GJA ... including the tip regarding Tu ...

Still reflecting on the second part of your answer ...

Peter
 

Similar threads

Replies
2
Views
2K
  • · Replies 2 ·
Replies
2
Views
2K
Replies
2
Views
2K
  • · Replies 2 ·
Replies
2
Views
2K
Replies
4
Views
2K
Replies
2
Views
2K
  • · Replies 2 ·
Replies
2
Views
2K
Replies
5
Views
2K
  • · Replies 3 ·
Replies
3
Views
2K
  • · Replies 3 ·
Replies
3
Views
4K