Tension T in a parabolic wire at any point

Click For Summary
SUMMARY

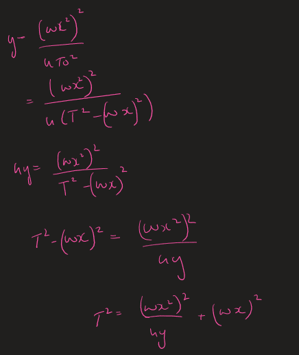
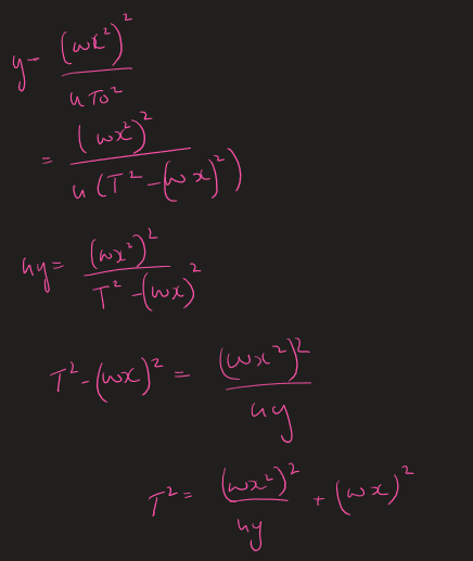
The discussion focuses on calculating the tension T in a parabolic wire under a uniform load w per horizontal foot. Participants highlight the importance of correctly using the equations T² = T₀² + w²x² and y = (w/2T₀)x² to derive T in terms of x, y, and w. A common error identified is the mislabeling of variables, specifically using y instead of y². Correcting this mistake is essential for reaching the target answer.

PREREQUISITES
  • Understanding of parabolic equations in physics
  • Familiarity with tension calculations in mechanics
  • Knowledge of derivatives and their applications
  • Basic algebra for manipulating equations
NEXT STEPS
  • Study the derivation of tension in parabolic cables using calculus
  • Explore the application of the equations T² = T₀² + w²x² and y = (w/2T₀)x² in real-world scenarios
  • Learn about the effects of varying load distributions on cable tension
  • Investigate graphical methods for visualizing parabolic shapes and tensions
USEFUL FOR

Students and professionals in engineering, physics, and mathematics who are involved in structural analysis, particularly those working with cable systems and parabolic shapes.

ElectronicTeaCup
Messages
23
Reaction score
1
Homework Statement
Assuming that w, the load per horizontal foot, it given, calculate the tension T
Relevant Equations
See (15,16) below
1589367294368.png


I am unsure how to go about this. I tried following the suggestion blindly and end up with with some cumbersome terms that are not the answer. From what I understand the derivative at each point would equal to T?

Answer:
1589367367456.png
I just can seem to get to this. I think I'm there but can't get it in this form

1589367402626.png
 
Physics news on Phys.org
ElectronicTeaCup said:
Homework Statement:: Assuming that w, the load per horizontal foot, it given, calculate the tension T
Relevant Equations:: See (15,16) below

View attachment 262705

I am unsure how to go about this. I tried following the suggestion blindly and end up with with some cumbersome terms that are not the answer. From what I understand the derivative at each point would equal to T?

Answer: View attachment 262706 I just can seem to get to this. I think I'm there but can't get it in this form

View attachment 262707
Right at the start you have y on the left instead of y2. Correct that and you should get the target answer.
 
  • Like
Likes   Reactions: ElectronicTeaCup
What's wrong with their suggestion? I assume you got ##T^2 = T_0^2 + w^2 x^2##, and along with ##y =\frac{w}{2T_0} x^2##. That should be sufficient to find ##T## in terms of ##x##, ##y## and ##w##.
 
Last edited by a moderator:
  • Like
Likes   Reactions: ElectronicTeaCup and Delta2
haruspex said:
Right at the start you have y on the left instead of y2. Correct that and you should get the target answer.

Yikes! YES, thanks for the catch! I was so frustrated trying to solve this one.
 

Similar threads

  • · Replies 4 ·
Replies
4
Views
1K
  • · Replies 4 ·
Replies
4
Views
2K
  • · Replies 2 ·
Replies
2
Views
2K
  • · Replies 5 ·
Replies
5
Views
2K
Replies
6
Views
1K
  • · Replies 10 ·
Replies
10
Views
1K
  • · Replies 3 ·
Replies
3
Views
1K
Replies
4
Views
2K
  • · Replies 4 ·
Replies
4
Views
3K
  • · Replies 4 ·
Replies
4
Views
4K