Graphing Derivatives: Concavity and Inflection Points

  • Thread starter Thread starter opus
  • Start date Start date
  • Tags Tags
    Graphs
Click For Summary

Homework Help Overview

The discussion revolves around analyzing the function f(x) = x11 - 6x10 using its first and second derivatives to determine intervals of increase and decrease, local extrema, concavity, and inflection points. Participants are exploring the implications of derivative values on the graph's behavior.

Discussion Character

  • Mixed

Approaches and Questions Raised

  • Participants discuss the process of finding critical points by setting the first and second derivatives to zero. They raise questions about the interpretation of horizontal sections of the graph and the behavior of concavity around inflection points.

Discussion Status

Some participants have provided insights into the nature of the graph and the behavior of the derivatives, while others express confusion regarding the relationship between critical points and concavity. There is an ongoing exploration of the conditions for local minima and maxima in relation to the second derivative.

Contextual Notes

Participants note that the original poster's understanding of concavity and inflection points may be influenced by the graphical representation, which can appear misleading at certain zoom levels. The discussion includes clarifications about the definition of inflection points and the conditions under which concavity changes.

opus
Gold Member
Messages
717
Reaction score
131

Homework Statement


Hi all. I have a question in regards to a few things in regard to using first and second derivatives to sketch graphs. My math is a little rusty as I was on a 9 day long field trip sleeping in a tent so I am fairly out of practice and can't seem to think this one through too well :DD.

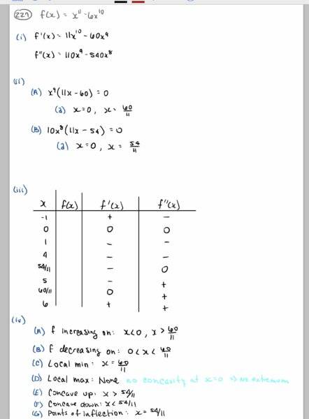
Find the following for ##f(x)=x^{11}-6x^{10}##:
a) Intervals where f is increasing and where it's decreasing
b) Local min/max of f
c) Intervals where f is concave up and where it's concave down
d) Inflection points of f

Homework Equations

The Attempt at a Solution


Here is what I know:

a) Intervals where f is increasing or decreasing is determined by the sign of ##f'(x)##.

b, c) Local mins and local maxes are determined by considering both ##f'(x)## as well as the sign of##f''(x)## at that same point. For example, if ##f'(x)=0## at point ##c##, then the derivative or slope of ##f## at that point ##c## is equal to zero and it is a critical point. However, although it is a critical point, that doesn't mean that there's a min or a max there. To have a min or a max the first derivative needs to change signs before and after that point ##c## and there needs to be concavity, and concavity is determined by whether the sign of ##f''(x)## is positive or negative. If the second derivative is positive, that corresponds with concave up and a local min. If the second derivative is negative, that corresponds with concave down and a local max.

d) Inflection points are determined by the second derivative and are where the concavity goes from concave up to down, or concave down to up. This is where the second derivative is equal to 0.

So to work this problem, this first thing that I did was take the first and second derivatives of the given function. From there, I solved for when each is equal to zero.
##f'(x)=11x^{10}-60x^{9}## and equals 0 when ##x=0,\frac{60}{11}##
##f''(x)=110x^{9}-540x^{8}## and equals 0 when ##x=0,\frac{54}{11}##Next I made a table of values to make conclusions about the graph of x. I went off of the zeros that I found for both the first and second derivatives, and made sure that I had a point on both sides of the found zeros. I have attached an image of this because I am unable to display this in type.

Now for my questions, and I have a couple if you wouldn't mind:

1) If you look at the graph of the given function, the graph is horizontal on the interval (-0.5, 0.5). This corresponds to a first derivative of zero. However, when I solved for the zeros of the first derivative, it gave me two points. So why is there horizontal action going on in this graph that wasn't identified when I solved for the zeros of the first derivative?

2) If you refer to my table of values, I am slightly confused with the values of the second derivative and concavity. I would say that there are two intervals where the graph is concave down- when ##x<0## and when ##0<x<\frac{54}{11}##. However, the text states that the graph of f is concave down when ##x,\frac{54}{11}## which means that it's including the inflection points as being concave down. This makes me question my table of values. How can a graph go concave down, to an inflection point, to concave down again? I thought that with an inflection point, it has to transition from concave up to concave down or vice versa?
 
Physics news on Phys.org
Table of values
 

Attachments

  • B184D9AB-0442-4527-B052-7D7B46D9BDFE.jpeg
    B184D9AB-0442-4527-B052-7D7B46D9BDFE.jpeg
    20.2 KB · Views: 364
Sorry, one more additional question. If we're looking for say a local minimum, is it possible to have ##f'(x)## go from negative to positive at some point ##c##, but have ##f''(x)## at that same point be negative i.e concave down? Visually, this seems impossible, but in terms of values I'm not sure as all that would be required would be the aforementioned ##f'(x)## requirements and have ##f''(x)##, a different function, be negative rather than positive.
 
opus said:
1) If you look at the graph of the given function, the graph is horizontal on the interval (-0.5, 0.5). This corresponds to a first derivative of zero. However, when I solved for the zeros of the first derivative, it gave me two points. So why is there horizontal action going on in this graph that wasn't identified when I solved for the zeros of the first derivative?
It's not actually flat on that interval. If you get a bit more granular, you'll see this. For example, if x = -.1, y = -6.1 X 10-10. At x = -.05, y = -5.9 X 10-13, and with negative values that are small in magnitude for x - .05 and x = .1.
opus said:
2) If you refer to my table of values, I am slightly confused with the values of the second derivative and concavity. I would say that there are two intervals where the graph is concave down- when x<0 and when 0<x<54/11 which means that it's including the inflection points as being concave down. This makes me question my table of values. How can a graph go concave down, to an inflection point, to concave down again? I thought that with an inflection point, it has to transition from concave up to concave down or vice versa?
There is only one inflection point -- at x = 54/11 -- in spite of the fact that f'' (x) = 0 at two places. An inflection point occurs when the concavity changes from pos. to neg or from neg. to pos. For your graph, the concavity changes sign only at x = 54/11.
 
  • Like
Likes   Reactions: opus
Mark44 said:
It's not actually flat on that interval. If you get a bit more granular, you'll see this. For example, if x = -.1, y = -6.1 X 10-10. At x = -.05, y = -5.9 X 10-13, and with negative values that are small in magnitude for x - .05 and x = .1.
Dang. I should've used Desmos. I looked at it on my graphing calculator and it's so pixelated that no matter how far I zoomed in it all looked flat. Thanks for the second pair of eyes.

Mark44 said:
There is only one inflection point -- at x = 54/11 -- in spite of the fact that f'' (x) = 0 at two places. An inflection point occurs when the concavity changes from pos. to neg or from neg. to pos. For your graph, the concavity changes sign only at x = 54/11.
Edit: Mistyped my last post. I think I have the idea now. There's a decent amount of working gears in these so they had me confused at first, but I'm pretty sure I have them by the short and curlies now. I'll try a couple more problems and see if I run into any issues.
Thanks as always, Mark.
 
Last edited:

Similar threads

Replies
1
Views
1K
  • · Replies 5 ·
Replies
5
Views
1K
  • · Replies 2 ·
Replies
2
Views
2K
Replies
22
Views
3K
Replies
7
Views
2K
Replies
7
Views
2K
Replies
5
Views
2K
  • · Replies 1 ·
Replies
1
Views
2K
  • · Replies 4 ·
Replies
4
Views
2K
Replies
11
Views
2K