Test whether the integer is a prime

  • Context: MHB 
  • Thread starter Thread starter evinda
  • Start date Start date
  • Tags Tags
    Integer Prime Test
Click For Summary

Discussion Overview

The discussion revolves around finding an efficient algorithm to determine whether an odd integer is prime, specifically through the use of polynomial congruences and computational cost analysis. Participants explore the implications of choosing a polynomial modulus and the efficiency of various algorithms, including recursive methods and fast exponentiation.

Discussion Character

  • Technical explanation
  • Mathematical reasoning
  • Debate/contested

Main Points Raised

  • One participant proposes testing the congruence $(X+a)^n \equiv X^n+a$ modulo a polynomial $X^r-1$ to check for primality.
  • Another participant questions the meaning of $r$ being $O((\log{n})^c)$ and its implications for computational cost.
  • There is a suggestion to use a recursive algorithm based on squaring to evaluate polynomials, with a focus on determining the computational cost $f(n,r)$.
  • Participants discuss the potential use of the Fast Fourier Transform (FFT) for polynomial multiplication, noting its time complexity of $O(d \log{d})$.
  • One participant proposes a recursive relation for $f(n,n)$ based on whether $n$ is even or odd, while others refine this relation.
  • There is a debate over whether $r$ should be treated as a constant or if it can vary, with some suggesting it must be chosen cleverly to maintain polynomial cost.
  • Participants explore the implications of polynomial degrees and the operations involved in multiplying polynomials, particularly in the context of the FFT.
  • Concerns are raised about the degree of the resulting polynomial and the need for initial conditions in solving recurrence relations.

Areas of Agreement / Disagreement

Participants express differing views on the interpretation of $r$ and its role in the computational cost, leading to unresolved questions about the implications of choosing $r$ as $O((\log{n})^c)$. There is no consensus on the best approach to analyze the computational cost or the exact nature of the polynomial operations involved.

Contextual Notes

Limitations include the dependence on the choice of $r$, the assumptions about polynomial degrees, and the unresolved nature of the computational cost analysis. The discussion also highlights the need for initial conditions in recurrence relations, which remains unaddressed.

  • #61
I like Serena said:
I think we're only talking about the upper bound instead of the actual size of the table.
In the first iteration we will have $m[2 \dots 2^{1}]$, then $m[2 \dots 2^{2}]$, and so on.
Generally we have $m[2 \dots 2^{i}]$, meaning that $2^i+1$ is not in the table. (Thinking)

A ok. So when we have the table $m[2 \dots 2^{i}]$, the table will have $2^i-1$ elements, at the next iteration it will have $2^{i+1}-1$ elements, and so on. Right? (Thinking)
 
Last edited:
Mathematics news on Phys.org
  • #62
evinda said:
A ok. So when we have the table $m[2 \dots 2^{i}]$, the table will have $2^i-1$ elements, at the next iteration it will have $2^{i+1}-1$ elements, and so on. Right?

Yep. (Nod)
 
  • #63
I like Serena said:
Yep. (Nod)
So when we execute the algorithm and we have at the beginning $r=2$, we create the table $m[2 \dots 2^1]=m[2]$.
Then we get $r=3$ and we create the table $m[3 \dots 2^2]=m[3 \ 4]$.
Then we get $r=4$ and we just have to look at the previous table we created, and so on, Right?
 
  • #64
evinda said:
So when we execute the algorithm and we have at the beginning $r=2$, we create the table $m[2 \dots 2^1]=m[2]$.
Then we get $r=3$ and we create the table $m[3 \dots 2^2]=m[3 \ 4]$.
Then we get $r=4$ and we just have to look at the previous table we created, and so on, Right?

Wouldn't the table still start at 2 in every iteration? (Wondering)
 
  • #65
I like Serena said:
Wouldn't the table still start at 2 in every iteration? (Wondering)

Oh yes, right.
So when $r=2$ we create the table $m[2]$, when $r=3$ we create the table $m[2 \ 3 \ 4]$, when $r=4$ we verify with 3 steps using the previous table that it is composite. Then when $r=5$ we get the table $m[2 \ 3 \ 4 \ 5 \ 6 \ 7 \ 8]$.
We check what holds for the numbers $k=6,7,8$ with the last table that we got with $k-1$ steps. Right?
So the number of arithmetic operations done is $\sum_{1 \leq i \leq \lceil \log{(\rho(n))}\rceil} O(i \cdot 2^i)+O(i)= \sum_{1 \leq i \leq \lceil \log{(\rho(n))}\rceil} O(i \cdot 2^i)$.

Right? (Thinking)
 
  • #66
evinda said:
Oh yes, right.
So when $r=2$ we create the table $m[2]$, when $r=3$ we create the table $m[2 \ 3 \ 4]$, when $r=4$ we verify with 3 steps using the previous table that it is composite. Then when $r=5$ we get the table $m[2 \ 3 \ 4 \ 5 \ 6 \ 7 \ 8]$.
We check what holds for the numbers $k=6,7,8$ with the last table that we got with $k-1$ steps. Right?
So the number of arithmetic operations done is $\sum_{1 \leq i \leq \lceil \log{(\rho(n))}\rceil} O(i \cdot 2^i)+O(i)= \sum_{1 \leq i \leq \lceil \log{(\rho(n))}\rceil} O(i \cdot 2^i)$.

Right?

That looks about right yes. (Nod)
 
  • #67
I like Serena said:
That looks about right yes. (Nod)

Nice. (Happy) Then we calculate $n^i \mod{r}$, for $i=1,2, \dots, 4 \lceil \log{n}\rceil^2$.
Why is the number of multiplications modulo $r$ $O((\log{n})^2)$ for one $r$ and not $O(\log{i})$?
How do we deduce this? (Thinking)
 
  • #68
evinda said:
Nice. (Happy) Then we calculate $n^i \mod{r}$, for $i=1,2, \dots, 4 \lceil \log{n}\rceil^2$.
Why is the number of multiplications modulo $r$ $O((\log{n})^2)$ for one $r$ and not $O(\log{i})$?
How do we deduce this? (Thinking)

$O(\log{i})$ would be for fast exponentiation for a single $i$, wouldn't it?
But don't we need it for all $i$?
And can't we use the previous result $n^{i-1}$ to find $n^i$? (Wondering)
 
  • #69
I like Serena said:
$O(\log{i})$ would be for fast exponentiation for a single $i$, wouldn't it?

Yes, right... (Nod)

I like Serena said:
But don't we need it for all $i$?
And can't we use the previous result $n^{i-1}$ to find $n^i$? (Wondering)

Yes, so we make $4 \lceil \log{n}\rceil^2-1$ multiplications, right? (Thinking)

And $4 \lceil \log{n}\rceil^2-1 \leq 4 (\log{n}+1)^2-1=O(\log^2{n})$, right?
 
  • #70
evinda said:
Yes, so we make $4 \lceil \log{n}\rceil^2-1$ multiplications, right? (Thinking)

And $4 \lceil \log{n}\rceil^2-1 \leq 4 (\log{n}+1)^2-1=O(\log^2{n})$, right?

Right. (Nod)
 
  • #71
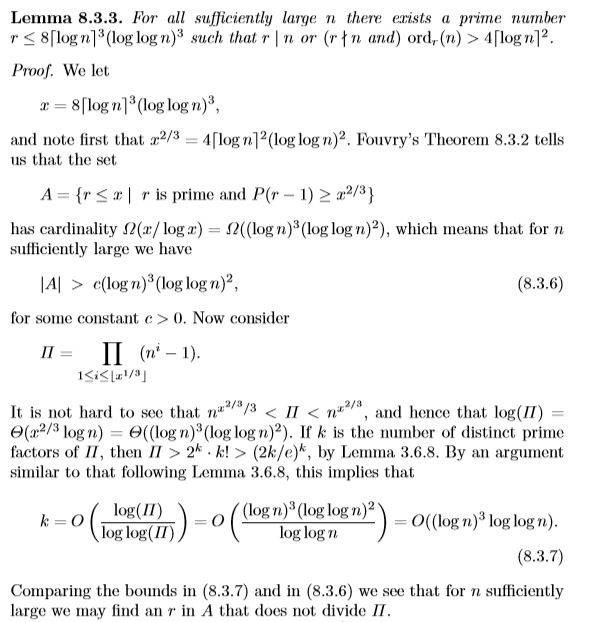
Then we check how many times the while-loop is executed. There is the following lemma.

View attachment 7628

First of all, how do we get that $\Omega\left(\frac{x}{\log{x}}\right)=\Omega((\log{n})^3 (\log{\log{n}})^2)$ ?

I got that $\frac{x}{\log{x}}=\frac{8 \lceil \log{n}\rceil^3 (\log{\log{n}})^3}{\log{8}+3 \log{(\lceil \log{n}\rceil)+3 \log{(\log{\log{n}})}}}$... But is this in $\Omega((\log{n})^3 (\log{\log{n}})^2)$ ?

Also how do we get that $n^{\frac{x^{\frac{2}{3}}}{3}} <\Pi<n^{x^{\frac{2}{3}}}$ ? (Thinking)
 

Attachments

  • x.JPG
    x.JPG
    52.3 KB · Views: 137
  • #72
evinda said:
Then we check how many times the while-loop is executed. There is the following lemma.

First of all, how do we get that $\Omega\left(\frac{x}{\log{x}}\right)=\Omega((\log{n})^3 (\log{\log{n}})^2)$ ?

I got that $\frac{x}{\log{x}}=\frac{8 \lceil \log{n}\rceil^3 (\log{\log{n}})^3}{\log{8}+3 \log{(\lceil \log{n}\rceil)+3 \log{(\log{\log{n}})}}}$... But is this in $\Omega((\log{n})^3 (\log{\log{n}})^2)$ ?

Don't we have $\frac{x}{\log{x}}=\frac{8 \lceil \log{n}\rceil^3 (\log{\log{n}})^3}{\log{8}+3 \log{(\lceil \log{n}\rceil)+3 \log{(\log{\log{n}})}}}
\ge \frac{8 \lceil \log{n}\rceil^3 (\log{\log{n}})^3}{4 \log{(\lceil \log{n}\rceil)}}$ for sufficiently large $n$? (Wondering)

evinda said:
Also how do we get that $n^{\frac{x^{\frac{2}{3}}}{3}} <\Pi<n^{x^{\frac{2}{3}}}$ ? (Thinking)

Let $X=\lfloor x^{1/3}\rfloor$.
Then:
$$\mathit\Pi = \prod_{i=1}^X (n^i-1) < \prod_{i=1}^X n^X = n^{X^2}$$
and:
$$\mathit\Pi = \prod_{i=1}^X (n^i-1) > \prod_{i=1}^X n^{i-1} = n^{\sum (i-1)} = n^{\frac 12 X(X-1)} > n^{\frac 13 X^2}$$
Isn't it? (Wondering)
 
  • #73
I like Serena said:
Don't we have $\frac{x}{\log{x}}=\frac{8 \lceil \log{n}\rceil^3 (\log{\log{n}})^3}{\log{8}+3 \log{(\lceil \log{n}\rceil)+3 \log{(\log{\log{n}})}}}
\ge \frac{8 \lceil \log{n}\rceil^3 (\log{\log{n}})^3}{4 \log{(\lceil \log{n}\rceil)}}$ for sufficiently large $n$? (Wondering)

This holds when $\lceil \log{n}\rceil \geq \frac{(\log{\log{n}})^3}{8}$, right? If so, how can we easily prove this? Do we use induction?

Then we have the following.

$$\frac{x}{\log{x}} \geq \frac{8 \lceil \log{n}\rceil^3 (\log{\log{n}})^3}{4 \log{(\lceil \log{n}\rceil)}}\geq \frac{8 \lceil \log{n}\rceil^3 (\log{\log{n}})^3}{4 \log{(\log{n}+1)}} (\star)$$

We have that $4 \log{(\log{n}+1)} \leq 4 \log{(2 \log{n})}=4(\log{2}+\log{(\log{n})})=4(1+\log{(\log{n})}) \leq 4(2 \log{(\log{n})})=8 \log{(\log{n})}$.

So we get that $(\star) \geq \frac{8 \lceil \log{n}\rceil^3 (\log{\log{n}})^3 }{8 \log{(\log{n})}}=\lceil \log{n}\rceil^3 (\log{\log{n}})^2$.

Right? Or have I done something wrong? (Thinking)

I like Serena said:
Let $X=\lfloor x^{1/3}\rfloor$.
Then:
$$\mathit\Pi = \prod_{i=1}^X (n^i-1) < \prod_{i=1}^X n^X = n^{X^2}$$

I see... (Nod)

I like Serena said:
$$\mathit\Pi = \prod_{i=1}^X (n^i-1) > \prod_{i=1}^X n^{i-1} = n^{\sum (i-1)} = n^{\frac 12 X(X-1)} > n^{\frac 13 X^2}$$
Isn't it? (Wondering)

Why does it hold that $\prod_{i=1}^X (n^i-1) > \prod_{i=1}^X n^{i-1}$ ?

The last inequality holds for $X>3$, right?
 
  • #74
evinda said:
This holds when $\lceil \log{n}\rceil \geq \frac{(\log{\log{n}})^3}{8}$, right? If so, how can we easily prove this? Do we use induction?

Can't we use that $\log n > \log\log n > \log\log\log n > 8$ for sufficiently large $n$? (Wondering)

evinda said:
Then we have the following.

$$\frac{x}{\log{x}} \geq \frac{8 \lceil \log{n}\rceil^3 (\log{\log{n}})^3}{4 \log{(\lceil \log{n}\rceil)}}\geq \frac{8 \lceil \log{n}\rceil^3 (\log{\log{n}})^3}{4 \log{(\log{n}+1)}} (\star)$$

We have that $4 \log{(\log{n}+1)} \leq 4 \log{(2 \log{n})}=4(\log{2}+\log{(\log{n})})=4(1+\log{(\log{n})}) \leq 4(2 \log{(\log{n})})=8 \log{(\log{n})}$.

So we get that $(\star) \geq \frac{8 \lceil \log{n}\rceil^3 (\log{\log{n}})^3 }{8 \log{(\log{n})}}=\lceil \log{n}\rceil^3 (\log{\log{n}})^2$.

Right? Or have I done something wrong?

All correct. (Nod)

evinda said:
Why does it hold that $\prod_{i=1}^X (n^i-1) > \prod_{i=1}^X n^{i-1}$ ?

The last inequality holds for $X>3$, right?

Doesn't it hold for any $X$ as long as $n \ge 2$?
That is:
$$n^i -1 = n^{i-1}(n-n^{-(i-1)})>n^{i-1}$$
(Thinking)
 
  • #75
I like Serena said:
Can't we use that $\log n > \log\log n > \log\log\log n > 8$ for sufficiently large $n$? (Wondering)
So is it as follows?

$$\log{8}+3 \log{(\lceil \log{n}\rceil)}+3 \log{(\log{\log{n}})} \leq \log{(\log{n})}+3 \log{(\log{n}+1)}+3 \log{(\log{n})} \leq 4 \log{(\log{n})}+3 \log{(2 \log{n})}=7\log{(\log{n})}+3 \log{2}\leq 7 \log{(\log{n})}+3 \log{(\log{n})}=10 \log{\log{n}}$$

Thus, we have $\frac{x}{\log{x}}\geq \frac{8 \lceil \log{n}\rceil^3 (\log{\log{n}})^3}{10 \log{\log{n}}}=\frac{8}{10} \lceil \log{n}\rceil^3 (\log{\log{n}})^2= \Omega(\lceil \log{n}\rceil^3 (\log{\log{n}})^2)$.

Right?
I like Serena said:
Doesn't it hold for any $X$ as long as $n \ge 2$?
That is:
$$n^i -1 = n^{i-1}(n-n^{-(i-1)})>n^{i-1}$$
(Thinking)

This holds only when $n-n^{-(i-1)}>1 \Rightarrow n^i-n^{i-1}-1>0$, right? (Thinking)
 
  • #76
evinda said:
So is it as follows?

$$\log{8}+3 \log{(\lceil \log{n}\rceil)}+3 \log{(\log{\log{n}})} \leq \log{(\log{n})}+3 \log{(\log{n}+1)}+3 \log{(\log{n})} \leq 4 \log{(\log{n})}+3 \log{(2 \log{n})}=7\log{(\log{n})}+3 \log{2}\leq 7 \log{(\log{n})}+3 \log{(\log{n})}=10 \log{\log{n}}$$

Thus, we have $\frac{x}{\log{x}}\geq \frac{8 \lceil \log{n}\rceil^3 (\log{\log{n}})^3}{10 \log{\log{n}}}=\frac{8}{10} \lceil \log{n}\rceil^3 (\log{\log{n}})^2= \Omega(\lceil \log{n}\rceil^3 (\log{\log{n}})^2)$.

Right?

Yep. (Nod)

evinda said:
This holds only when $n-n^{-(i-1)}>1 \Rightarrow n^i-n^{i-1}-1>0$, right?

Yes.
And $-(i-1)\le 0$, so with $n\ge 2$ we have that $n^{-(i-1)} \le 1$. (Thinking)
 
  • #77
I like Serena said:
Yes.
And $-(i-1)\le 0$, so with $n\ge 2$ we have that $n^{-(i-1)} \le 1$. (Thinking)

So we have that $n^i-1>n^{i-1}$ only if $n-n^{-(i-1)}>1$.

And taking into consideration that $n \geq 2$ and $-(i-1) \leq 0$, we get that $n^{-(i-1)} \leq 1 \Rightarrow -n^{-(i-1)}\geq -1 \Rightarrow n-n^{-(i-1)} \geq n-1>1$, right?Do you maybe have an idea how we get that $k=O\left( \frac{\log{(\Pi)}}{\log{\log{(\Pi)}}}\right)$ ?
 
  • #78
evinda said:
So we have that $n^i-1>n^{i-1}$ only if $n-n^{-(i-1)}>1$.

And taking into consideration that $n \geq 2$ and $-(i-1) \leq 0$, we get that $n^{-(i-1)} \leq 1 \Rightarrow -n^{-(i-1)}\geq -1 \Rightarrow n-n^{-(i-1)} \geq n-1>1$, right?

Just nitpicking, but shouldn't that last inequality be $\geq n-1\ge 1$? (Wondering)

evinda said:
Do you maybe have an idea how we get that $k=O\left( \frac{\log{(\Pi)}}{\log{\log{(\Pi)}}}\right)$ ?

What is the argument following lemma 3.6.8? (Wondering)
 
  • #79
I like Serena said:
Just nitpicking, but shouldn't that last inequality be $\geq n-1\ge 1$? (Wondering)

Yes, right...

I like Serena said:
$$\mathit\Pi = \prod_{i=1}^X (n^i-1) > \prod_{i=1}^X n^{i-1} = n^{\sum (i-1)} = n^{\frac 12 X(X-1)} > n^{\frac 13 X^2}$$

Doesn't $n^{\frac 12 X(X-1)} > n^{\frac 13 X^2}$ only hold when $\frac{1}{2}X^2-\frac{1}{2}X>\frac{1}{3}X^2 \Rightarrow X>3$ ?

Also having shown that $\mathit\Pi > n^{\frac{1}{3}X^2}=n^{\frac{1}{3} \lfloor x^{\frac{1}{3}}\rfloor^2}$ we haven't shown yet that $\mathit\Pi > n^{\frac{1}{3}x^{\frac{2}{3}}}$, do we?
I like Serena said:
What is the argument following lemma 3.6.8? (Wondering)

View attachment 7630

For $x>1$, with $\pi(x)$ we denote the number of primes $p \leq x$.
 

Attachments

  • arg.JPG
    arg.JPG
    33.3 KB · Views: 122
  • #80
evinda said:
Doesn't $n^{\frac 12 X(X-1)} > n^{\frac 13 X^2}$ only hold when $\frac{1}{2}X^2-\frac{1}{2}X>\frac{1}{3}X^2 \Rightarrow X>3$ ?

Also having shown that $\mathit\Pi > n^{\frac{1}{3}X^2}=n^{\frac{1}{3} \lfloor x^{\frac{1}{3}}\rfloor^2}$ we haven't shown yet that $\mathit\Pi > n^{\frac{1}{3}x^{\frac{2}{3}}}$, do we?

Indeed. (Thinking)

evinda said:
For $x>1$, with $\pi(x)$ we denote the number of primes $p \leq x$.

That leads up to $\mathit\Pi > (2k/e)^k$.
Taking logs brings us basically to $k\log k <c\cdot N$, where $N=\log\mathit\Pi$ and $c$ is some constant.
From there we are supposed to get to $k<c\cdot \frac{N}{\log N}=c\cdot \frac{\log\mathit\Pi}{\log\log\mathit\Pi}$.
It seems that is explained right after your fragment with 'an indirect argument'.
What comes after? (Thinking)
 
  • #81
I like Serena said:
Indeed. (Thinking)

How else could we get the lower bound? (Thinking)
I like Serena said:
That leads up to $\mathit\Pi > (2k/e)^k$.
Taking logs brings us basically to $k\log k <c\cdot N$, where $N=\log\mathit\Pi$ and $c$ is some constant.
From there we are supposed to get to $k<c\cdot \frac{N}{\log N}=c\cdot \frac{\log\mathit\Pi}{\log\log\mathit\Pi}$.
It seems that is explained right after your fragment with 'an indirect argument'.
What comes after? (Thinking)
View attachment 7631
 

Attachments

  • ind.JPG
    ind.JPG
    53.5 KB · Views: 143
  • #82
evinda said:
Also having shown that $\mathit\Pi > n^{\frac{1}{3}X^2}=n^{\frac{1}{3} \lfloor x^{\frac{1}{3}}\rfloor^2}$ we haven't shown yet that $\mathit\Pi > n^{\frac{1}{3}x^{\frac{2}{3}}}$, do we?

evinda said:
How else could we get the lower bound?

We have to tweak it a little.
Something like:
$$
\mathit\Pi > n^{\frac{1}{2}X(X-1)}>n^{\frac{1}{2}(X-1)^2}
=n^{\frac{1}{2}(\lfloor x^{1/3}\rfloor-1)^2}
>n^{\frac{1}{2}(x^{1/3}-2)^2}
>n^{\frac{1}{3}x^{2/3}}
$$
for sufficiently large $x$. (Thinking)

evinda said:
Do you maybe have an idea how we get that $k=O\left( \frac{\log{(\Pi)}}{\log{\log{(\Pi)}}}\right)$ ?

And indeed, the argument is a long one, but it seems to be all there, doesn't it? (Wondering)
 
  • #83
I like Serena said:
We have to tweak it a little.
Something like:
$$
\mathit\Pi > n^{\frac{1}{2}X(X-1)}>n^{\frac{1}{2}(X-1)^2}
=n^{\frac{1}{2}(\lfloor x^{1/3}\rfloor-1)^2}
>n^{\frac{1}{2}(x^{1/3}-2)^2}
>n^{\frac{1}{3}x^{2/3}}
$$
for sufficiently large $x$. (Thinking)
The last inequality holds when $\frac{1}{2}(x^{\frac{1}{3}}-2)^2>\frac{1}{3}x^{\frac{2}{3}} \Rightarrow x^{\frac{2}{3}}-4x^{\frac{1}{3}}+4>\frac{2}{3}x^{\frac{2}{3}} \Rightarrow x^{\frac{2}{3}}-12x^{\frac{1}{3}}+12 > 0$.

So does $x$ have to be such that $x^{\frac{1}{3}}>\frac{12+ \sqrt{3 \cdot 2^5}}{2}$? (Thinking)
I like Serena said:
And indeed, the argument is a long one, but it seems to be all there, doesn't it? (Wondering)

But in our case we don't have that $k=\pi(\mathit\Pi )$, do we? (Thinking)
 
  • #84
evinda said:
The last inequality holds when $\frac{1}{2}(x^{\frac{1}{3}}-2)^2>\frac{1}{3}x^{\frac{2}{3}} \Rightarrow x^{\frac{2}{3}}-4x^{\frac{1}{3}}+4>\frac{2}{3}x^{\frac{2}{3}} \Rightarrow x^{\frac{2}{3}}-12x^{\frac{1}{3}}+12 > 0$.

So does $x$ have to be such that $x^{\frac{1}{3}}>\frac{12+ \sqrt{3 \cdot 2^5}}{2}$? (Thinking)

Yep.

evinda said:
But in our case we don't have that $k=\pi(\mathit\Pi )$, do we? (Thinking)

Indeed. That's why the argument is similar. (Thinking)
 
  • #85
I like Serena said:
Indeed. That's why the argument is similar. (Thinking)

Don't we have that $k \leq \pi(\mathit \Pi)$ and so $k=O{\left( \frac{\mathit \Pi}{\log{ \mathit \Pi}}\right)}$ ? Or am I wrong? (Thinking)
 
  • #86
I like Serena said:
Taking logs brings us basically to $k\log k <c\cdot N$, where $N=\log\mathit\Pi$ and $c$ is some constant.
From there we are supposed to get to $k<c\cdot \frac{N}{\log N}=c\cdot \frac{\log\mathit\Pi}{\log\log\mathit\Pi}$.
(Thinking)

It seems that $O\left(\frac{\log{N}}{\log{\log{N}}}\right)$ is a known upper bound for the number of distince prime divisors of $N$, but I haven't understood how we can show this... (Thinking)
 
  • #87
evinda said:
I like Serena said:
Isn't the first step where it says in the proof in http://mathhelpboards.com/number-theory-27/test-whether-integer-prime-22804-post103344.html#post103344 that $\mathit\Pi > 2^k\cdot k! > (2k/e)^k$ by lemma 3.6.8? (Wondering)

Yes. Do we use this somehow to conclude that $k=O{\left( \frac{\log{\mathit\Pi}}{\log{\log{\mathit\Pi}}}\right)}$ ? (Thinking)
I like Serena said:
Yes. Can't the next step be similar to what we have in post http://mathhelpboards.com/number-theory-27/test-whether-integer-prime-22804-post103372.html#post103372?
That is, we're taking logarithms,
$$\ln\mathit\Pi > k\cdot (\ln k + \ln 2 - 1)\tag{3.6.19a}$$
(Thinking)

evinda said:
So then we suppose that $k \geq \frac{\ln{\mathit\Pi}}{\ln{\ln{\mathit\Pi}}}$, in order to get a contradiction.

Using the relation $\ln{\mathit\Pi}>k(\ln{k}+\ln{2}-1)$ we get that

$$\ln{\mathit\Pi}> \frac{\ln{\mathit\Pi}}{\ln{\ln{\mathit\Pi}}}\left( \ln{\ln{\mathit\Pi}}-\ln{\ln{\ln{\Pi}}}+\ln{2}-1\right) \\ \Rightarrow \ln{\mathit\Pi} \ln{\ln{\mathit\Pi}}> \ln{\mathit\Pi} \ln{\ln{\mathit\Pi}}-\ln{\mathit\Pi} \ln{\ln{\ln{\mathit\Pi}}}+ \ln{2} \ln{\mathit\Pi}-\ln{\mathit\Pi} \\ \Rightarrow \ln{\mathit\Pi} (\ln{(\ln{\ln{\mathit\Pi}})}+1-\ln{2})>0$$

Do we now look at the function $f(x)= \ln{x}(\ln{\ln{\ln{x}}}+1-\ln{2})$ ?

If so, accrding to Wolfram, it has one solution and its derivate has no solution. What can we get from this? (Thinking)

Isn't that expression true for sufficiently large $x$? And the function positive as well?
Then it won't lead to a contradiction. (Worried)In the argument given in http://mathhelpboards.com/number-theory-27/test-whether-integer-prime-22804-post103374.html#post103374, we assumed that $k \ge \frac{2N}{\ln N}$. Note the extra factor $2$.

So let's first define $M=\ln\mathit\Pi$, and let's assume that $k\ge \frac{2M}{\ln M}$ for a contradiction.
Then we get:
$$M>k\cdot(\ln k + \ln 2 - 1) \tag{3.6.19a}$$
and it follows, when $\ln M > 0$, that:
$$M>\frac{2M}{\ln M}\cdot\left(\ln\left(\frac{2M}{\ln M}\right) + \ln 2 - 1\right) \\
\Rightarrow\quad\frac 12\ln M > \ln\left(\frac{2M}{\ln M}\right)+ \ln 2 - 1 \\
\Rightarrow\quad\frac 12\ln M > \ln M - \ln\ln M+ 2\ln 2 - 1 \\
\Rightarrow\quad(1-\frac 12)\ln M < \ln\ln M-2\ln 2 + 1$$
so by obvious transformations,
$$(1-\frac 12)\ln M < \ln\ln M-2\ln 2 + 1\tag{3.6.20a}$$

Now we can look at the function $f: x \mapsto (1-\frac 12)\ln x - \ln\ln x + 2\ln 2 - 1$, which is defined for $x > 1$, can't we? (Wondering)
 
  • #88
I like Serena said:
In the argument given in http://mathhelpboards.com/number-theory-27/test-whether-integer-prime-22804-post103374.html#post103374, we assumed that $k \ge \frac{2N}{\ln N}$. Note the extra factor $2$.

So let's first define $M=\ln\mathit\Pi$, and let's assume that $k\ge \frac{2M}{\ln M}$ for a contradiction.
Then we get:
$$M>k\cdot(\ln k + \ln 2 - 1) \tag{3.6.19a}$$
and it follows, when $\ln M > 0$, that:
$$M>\frac{2M}{\ln M}\cdot\left(\ln\left(\frac{2M}{\ln M}\right) + \ln 2 - 1\right) \\
\Rightarrow\quad\frac 12\ln M > \ln\left(\frac{2M}{\ln M}\right)+ \ln 2 - 1 \\
\Rightarrow\quad\frac 12\ln M > \ln M - \ln\ln M+ 2\ln 2 - 1 \\
\Rightarrow\quad(1-\frac 12)\ln M < \ln\ln M-2\ln 2 + 1$$
so by obvious transformations,
$$(1-\frac 12)\ln M < \ln\ln M-2\ln 2 + 1\tag{3.6.20a}$$

Now we can look at the function $f: x \mapsto (1-\frac 12)\ln x - \ln\ln x + 2\ln 2 - 1$, which is defined for $x > 1$, can't we? (Wondering)

We have that $f(x)>0$ for $x>1$.

Then $f'(x)=\frac{\ln{x}-2}{2 x \ln{x}}$.

$f'(x)=0 \Rightarrow x=e^2$.

For $x> e^2$ we have that $f'(x)>0$ and so $f$ is increasing.

For $1<x<e^2$ we have that $f'(x)<0$ and so $f$ is decreasing.

So we get that for any $x>1$, $f(x)>f(e^2)=\ln{2} \Rightarrow \frac{1}{2} \ln{x}-\ln\ln x+ 2\ln 2-1>\ln{2}>0$, contradicting the relation $(3.6.20a)$.

Is everything right? (Thinking)
 
  • #89
evinda said:
We have that $f(x)>0$ for $x>1$.

We don't have this yet. It's what we want to prove don't we? (Wondering)

evinda said:
Then $f'(x)=\frac{\ln{x}-2}{2 x \ln{x}}$.

$f'(x)=0 \Rightarrow x=e^2$.

For $x> e^2$ we have that $f'(x)>0$ and so $f$ is increasing.

For $1<x<e^2$ we have that $f'(x)<0$ and so $f$ is decreasing.

So we get that for any $x>1$, $f(x)>f(e^2)=\ln{2} \Rightarrow \frac{1}{2} \ln{x}-\ln\ln x+ 2\ln 2-1>\ln{2}>0$, contradicting the relation $(3.6.20a)$.

Yep. (Nod)

(Although shouldn't it be $f(x)\ge f(e^2)$?)
 
  • #90
I like Serena said:
We don't have this yet. It's what we want to prove don't we? (Wondering)

Yes, right... (Nod)

I like Serena said:
Yep. (Nod)

(Although shouldn't it be $f(x)\ge f(e^2)$?)

Yes, I see... (Nod)

View attachment 7642

How do we see that $q$ must divide $ord_r{(n)}$ ? (Thinking)
 

Attachments

  • claim.JPG
    claim.JPG
    24.9 KB · Views: 114

Similar threads

  • · Replies 29 ·
Replies
29
Views
6K
  • · Replies 5 ·
Replies
5
Views
2K
  • · Replies 22 ·
Replies
22
Views
5K
  • · Replies 4 ·
Replies
4
Views
3K
Replies
6
Views
1K
Replies
27
Views
4K
  • · Replies 6 ·
Replies
6
Views
2K
  • · Replies 3 ·
Replies
3
Views
3K
  • · Replies 1 ·
Replies
1
Views
3K
  • · Replies 5 ·
Replies
5
Views
2K