Torque on a dipole near a infinite conducting plane

Click For Summary

Homework Help Overview

The discussion revolves around the torque experienced by a dipole near an infinite conducting plane, exploring concepts related to electric fields, dipole orientation, and image charge theory in electrostatics.

Discussion Character

  • Mixed

Approaches and Questions Raised

  • Participants discuss the calculation of the electric field due to an image dipole and the resulting torque on the dipole. There are questions about the correctness of unit vector notations and the orientation of the dipole in relation to the conducting plane. Some participants express confusion over the assumptions made regarding the dipole's equilibrium position and whether it will oscillate or come to rest.

Discussion Status

The conversation is ongoing, with participants providing insights and corrections regarding the calculations and assumptions. There is acknowledgment of potential errors in the orientation of the dipole and its implications for the equilibrium position, but no consensus has been reached on the final interpretation of the results.

Contextual Notes

Participants are navigating through the complexities of dipole orientation and the effects of the conducting plane, with some noting the need for clarity on the definitions and coordinate systems used in the problem. There are references to specific equations and external resources that may aid in understanding the concepts discussed.

Pushoam
Messages
961
Reaction score
53

Homework Statement


upload_2017-8-5_14-44-17.png
upload_2017-8-5_14-44-32.png


Homework Equations

3. The Attempt at a Solution [/B]
upload_2017-8-5_16-31-24.png


I have drawn this diagram using MS paint, could you please tell me some other software in which I can draw and insert greek symbols, too ?Let me take the origin at O.
## \hat r \left(\alpha\right) ≡ \hat r\text{ at angle }\alpha ~with ~z - axis ##
Considering the image problem,
## \vec E \left (O' \right) ## due to the image dipole ## = \frac { -kp} { {2 z}^3 } \left( 2 \cos \alpha ~ \hat r \left( \theta = 0 \right) + \sin \alpha ~ \hat \theta \left ( \theta =0 \right) \right )##
##
\\ \hat r = \sin \theta ~ \hat s + \cos \theta ~ \hat z
\\ \hat \theta = - \sin \theta ~ \hat z +\cos \theta ~ \hat s
\\\text { at } \theta =0, ~ \hat r = \hat z ~ and ~ \hat \theta = \hat s

\\
\\ \vec p = p~ \hat r \left ( \alpha \right)##

Now,
torque ## \vec N = \vec p \times \vec E ##

## = p ~ \hat r ## ## \left( \alpha \right ) \times ## ## \frac { -kp} { {2z}^3 }
\left( 2 \cos \alpha ~ \hat r \left( \theta = 0 \right) + \sin \alpha ~ \hat \theta \left ( \theta =0 \right) \right) ##

##\\ = p \hat r\left( \alpha \right ) \times

\frac { -kp} {{2z}^3 } \left( 2 \cos \alpha ~\hat z + \sin \alpha ~ \hat s \right) ##

## = \frac {-kp^2}{ \left (2z\right) ^3 } \left[ - 2 \cos \alpha \sin \alpha ~\hat \phi + \cos \alpha \sin \alpha ~ \hat \phi \right ]
##

## \\ = \frac {kp^2}{16 z ^3 } \sin \alpha ~ \hat \phi ##

To answer the final part,
I guess the orientation of plane is x-y and ##\hat \phi ## is also in the x-y orientation. So, the dipole will come to rest in the orientation which is parallel to the plane .
But why will it come to rest? Why won't it oscillate (as there are no other net force acting on the dipole)?
 

Attachments

  • upload_2017-8-5_15-16-8.png
    upload_2017-8-5_15-16-8.png
    1.6 KB · Views: 606
  • upload_2017-8-5_16-19-22.png
    upload_2017-8-5_16-19-22.png
    1.4 KB · Views: 571
Last edited by a moderator:
Physics news on Phys.org
I had a difficult time following all of your unit vector notations. I believe your unit vector ##\hat{s}## could be called the "radial polar unit vector" in cylindrical coordinates.
Pushoam said:
Considering the image problem,
## \vec E \left (O' \right) ## due to the image dipole ## = \frac { -kp} { {2 z}^3 } \left( 2 \cos \alpha ~ \hat r \left( \theta = 0 \right) + \sin \alpha ~ \hat \theta \left ( \theta =0 \right) \right )##
Are you sure both terms in the parentheses are positive? There should be a set of parentheses in the denominator (which you finally put in near the very end of your calculation.)

## \\ = \frac {kp^2}{16 z ^3 } \sin \alpha ~ \hat \phi ##
Did you mean to type ##2 \alpha## for the argument of the sine function? I don't get the same numerical factor out front due to the possible sign error that I mentioned above.

To answer the final part,
I guess the orientation of plane is x-y and ##\hat \phi ## is also in the x-y orientation. So, the dipole will come to rest in the orientation which is parallel to the plane .
But why will it come to rest? Why won't it oscillate (as there are no other net force acting on the dipole)?
Yes, it would oscillate. I guess they want you to assume small damping so that it comes to rest at the equilibrium position. I agree that the equilibrium position would be parallel to the conducting plane.
 
TSny said:
Are you sure both terms in the parentheses are positive?
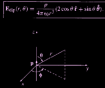
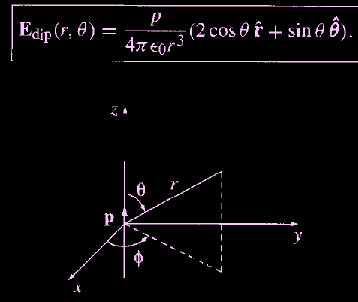
##\vec E ## due to an ideal dipole \vec p at a point ## \hat r \left( \theta \right ) ## is given by

upload_2017-8-5_23-4-9.png


Here, r = 2z
## \theta = \alpha##
The electric field at O' due to p ##= \frac { kp} { \{2 z\}^3 } \left( 2 \cos \alpha ~ \hat r \left( \theta = 0 \right) + \sin \alpha ~ \hat \theta \left ( \theta =0 \right) \right ) ##
So, The electric field at O' due to -p ##= \frac { -kp} { \{2 z\}^3 } \left( 2 \cos \alpha ~ \hat r \left( \theta = 0 \right) + \sin \alpha ~ \hat \theta \left ( \theta =0 \right) \right ) ##

Is there anything wrong with it?
 

Attachments

  • upload_2017-8-5_23-1-14.png
    upload_2017-8-5_23-1-14.png
    1.8 KB · Views: 590
Pushoam said:
##\vec E ## due to an ideal dipole \vec p at a point ## \hat r \left( \theta \right ) ## is given by

View attachment 208392
Now you're using spherical coordinates.

Here, r = 2z
## \theta = \alpha##
The electric field at O' due to p ##= \frac { kp} { \{2 z\}^3 } \left( 2 \cos \alpha ~ \hat r \left( \theta = 0 \right) + \sin \alpha ~ \hat \theta \left ( \theta =0 \right) \right ) ##
This is confusing. You say ##\theta = \alpha## but then you say ##\theta = 0## and ##\alpha \neq 0##.

There is a nice way to write the electric field of a dipole that is independent of coordinate system. See equation 13 here:
http://phys.columbia.edu/~nicolis/Dipole_electric_field.pdf

You can apply this expression to any coordinate system that you find convenient. Thus, you can apply it to this picture to find E at O' in terms of unit vectors ##\hat y## and ##\hat z##.
upload_2017-8-5_13-17-30.png


You can then switch the sign of E to correspond to p pointing in the opposite direction to that shown in this picture.
 
upload_2017-8-5_16-31-24-png.png
##
\vec N = \vec p \left ( ~at ~ O' \right ) \times

\{ ## ## {\vec E \left ( ~at ~ O' \right )} = { \frac k { \{ 2 z \}^3 } }## ## \left [ 3 { \left ( - \vec p ⋅ \hat z \right ) \hat z } +\vec p \right ] ## ## \}##
##\\ = \frac {- 3 k p^2} { \{ 2 z \}^3 } \cos \alpha \{ \vec p \times \hat z\}
\\ = \frac {- 3 k p^2} {16 z^3} \sin 2 \alpha \{- \hat \phi \} ##

TSny said:
I agree that the equilibrium position would be parallel to the conducting plane.
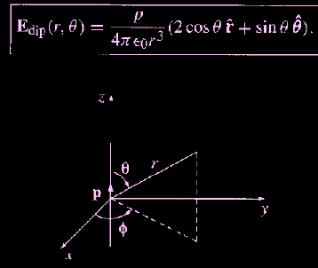
The book's solution says that the equilibrium position would be perpendicular to the conducting plane or did I iterpret it wrong?
upload_2017-8-6_8-53-59.png

upload_2017-8-6_8-54-18.png
 
Sorry, it was my mistake. I was not orienting the image dipole correctly which led to a sign error on my part. The image dipole is not oriented as shown in your picture (post #5) but as shown in part (a) of the solution of your last post. The expressions for E and N given in the solution look correct. And the direction of the torque is such as to make the equilibrium orientation of the dipole perpendicular to the conducting plane:

equilibrium is ##\uparrow## if initially ##-\pi/2 < \theta < \pi/2##
equilibrium is ##\downarrow## if initially ##\pi/2 < \theta < 3\pi/2##

where ##\theta## is as shown in the figure for part (a) solution.

Hope I didn't cause you too much of a headache.
 
Last edited:
TSny said:
I was not orienting the image dipole correctly which led to a sign error on my part. The image dipole is not oriented as shown in your picture (post #5) but as shown in part (a) of the solution of your last post.
The image dipole given in the book's solution is not -p. I was taking -p as image dipole so that the potential due to p at the plane will get canceled by potential due to -p and hence we will get the potential on the space containing the plane to be 0.
What is wrong with this argument?
 
In your diagram, the image dipole looks to me to be parallel to the real dipole. But they are not parallel (in general). See the figure in the solution part (a).
 

Similar threads

  • · Replies 12 ·
Replies
12
Views
2K
  • · Replies 25 ·
Replies
25
Views
3K
  • · Replies 7 ·
Replies
7
Views
3K
  • · Replies 1 ·
Replies
1
Views
2K
  • · Replies 3 ·
Replies
3
Views
2K
Replies
24
Views
3K
  • · Replies 11 ·
Replies
11
Views
2K
  • · Replies 19 ·
Replies
19
Views
3K
  • · Replies 26 ·
Replies
26
Views
4K
Replies
2
Views
2K