Trouble with a double summation

  • Thread starter Thread starter docnet
  • Start date Start date
  • Tags Tags
    Summation
Click For Summary

Homework Help Overview

The discussion revolves around a double summation problem involving the expression of sums and factorials in the context of combinatorial reasoning. Participants are attempting to verify an equality related to the summation of terms indexed by two variables.

Discussion Character

  • Exploratory, Mathematical reasoning, Assumption checking

Approaches and Questions Raised

  • Participants discuss the inner and outer sums, questioning their understanding of how to correctly express the total number of terms in the summation. There are attempts to clarify the relationship between the sums and factorials, with some participants suggesting examples to illustrate their reasoning.

Discussion Status

The discussion is active, with participants sharing their thought processes and realizations about the structure of the sums. Some have provided examples to validate their reasoning, while others are exploring different interpretations of the summation terms. There is no explicit consensus, but productive dialogue is ongoing.

Contextual Notes

Participants are working under the constraints of homework rules, which may limit the information they can share or the methods they can use. There is a noted confusion regarding the meaning of factorials and the summation process, which is being explored in depth.

docnet
Messages
796
Reaction score
487
Homework Statement
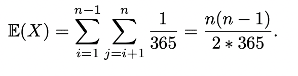
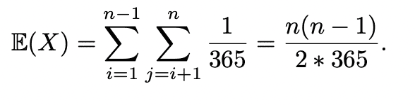
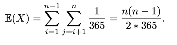
verify the last equality
Relevant Equations
verify the last equality
Screen Shot 2021-11-05 at 1.27.25 AM.png


the inner sum is just adding 1/365 n-i number of times. so ##\frac{(n-i)}{365}##

the outer sum adds over the index i, so I thought the expression is equal to ##\frac{(n-1)n-(n-1)!}{365}## but it's obviously not equal to that. where did I go wrong?
 
Physics news on Phys.org
docnet said:
Homework Statement:: verify the last equality
Relevant Equations:: verify the last equality

View attachment 291798

the inner sum is just adding 1/365 n-i number of times. so ##\frac{(n-i)}{365}##

the outer sum adds over the index i, so I thought the expression is equal to ##\frac{(n-1)n-(n-1)!}{365}## but it's obviously not equal to that. where did I go wrong?
If ##i = 1## there are ##n-1## terms, if ##i =2## there are ##n -2## terms etc. Hence there are ##1 +2 \dots + n -1## terms in total.

Do an example with ##n = 4## say, and write out the sum.
 
  • Like
Likes   Reactions: docnet
docnet said:
Homework Statement:: verify the last equality
Relevant Equations:: verify the last equality

View attachment 291798

the inner sum is just adding 1/365 n-i number of times. so ##\frac{(n-i)}{365}##

the outer sum adds over the index i, so I thought the expression is equal to ##\frac{(n-1)n-(n-1)!}{365}## but it's obviously not equal to that. where did I go wrong?
PeroK said:
If ##i = 1## there are ##n-1## terms, if ##i =2## there are ##n -2## terms etc. Hence there are ##1 +2 \dots + n -1## terms in total.

Do an example with ##n = 4## say, and write out the sum.
If ##n=4##, then the sum is

##1/365\cdot \sum^3_{i=1}\sum^4_{j=i+1}1=1/365\cdot (3+2+1)=\frac{6}{365}##.

check:
##\frac{n(n-1)}{2*365}=\frac{4(3)}{2*365}=\frac{6}{365}##

so I realized that I forgot the meaning of the factorial.. oope. I somehow thought it was n! = n+(n-1)+...+2+1 . oh lord.

following the same thought process suggested by @PeroK,

##1/365\cdot sum^{n-1}_{i=1}\sum^n_{j=i+1}1=\frac{(n-1)+(n-2)+...+2+1}{365}##

which is equivalent to ##\frac{n(n-1)}{2*365}## (although I don't know how to prove it, I can see that it is true geometrically.)
 
[tex]\sum_{i=1}^{n-1}\sum_{j=i+1}^{n}1=\sum_{i=1}^{n-1}(n-i)=n\sum_{i=1}^{n-1}1-\sum_{i=1}^{n-1}i=n(n-1)-\sum_{i=1}^{n-1}i[/tex]
Then
[tex]S:=\sum_{i=1}^{n-1}i=\sum_{i=1}^{n-1}(n-i)[/tex]
which means just changing order of addition
[tex]1+2+...+(n-1)=(n-1)+(n-2)+...+2+1[/tex]
adding RHS and LHS
[tex]2S=\sum_{i=1}^{n-1}n=n\sum_{i=1}^{n-1}1=n(n-1)[/tex]
This is equivalent to geometrical explanation.
 
  • Like
  • Informative
Likes   Reactions: SammyS and docnet
anuttarasammyak said:
[tex]S:=\sum_{i=1}^{n-1}i=\sum_{i=1}^{n-1}(n-i)[/tex]
This confused me at first, but it makes sense after thinking about it. Thank you so much.
 
  • Like
Likes   Reactions: anuttarasammyak

Similar threads

  • · Replies 6 ·
Replies
6
Views
2K
  • · Replies 7 ·
Replies
7
Views
2K
Replies
5
Views
2K
  • · Replies 5 ·
Replies
5
Views
1K
Replies
1
Views
1K
  • · Replies 2 ·
Replies
2
Views
2K
  • · Replies 6 ·
Replies
6
Views
2K
  • · Replies 10 ·
Replies
10
Views
3K
  • · Replies 7 ·
Replies
7
Views
3K
  • · Replies 10 ·
Replies
10
Views
3K