Sum of Infinite Series: Finding the Value of S

Click For Summary

Homework Help Overview

The discussion revolves around the evaluation of an infinite series, specifically the sum of the series defined by the terms \(x_n\) and \(y_l\). Participants are exploring the convergence properties of these series and the implications of divergent series in the context of summation techniques.

Discussion Character

  • Exploratory, Conceptual clarification, Mathematical reasoning, Assumption checking

Approaches and Questions Raised

  • Participants discuss the representation of the series and question the completeness of the original poster's approach. There are mentions of divergent series and the potential for generalizing summation techniques. Some suggest examining the convergence of the series and the implications of rearranging terms.

Discussion Status

There is an ongoing exploration of various methods to handle the series, including references to Cesaro sums and Abel's theorem. Some participants have provided hints and partial guidance, while others express uncertainty about the original poster's reasoning and the assumptions made regarding convergence.

Contextual Notes

Participants note the importance of understanding the conditions under which series can be rearranged and the implications of conditional convergence. There is also a focus on the relationship between the sums of \(x_k\) and \(y_k\) and their respective limits.

docnet
Messages
796
Reaction score
487
Homework Statement
.
Relevant Equations
.
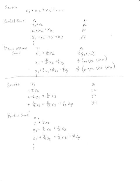
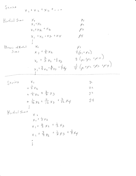
Using the given rule for the ##x_n##, write $$ \sum_l y_l = x_1 + \frac{1}{2} x_2 + \frac{1}{6} x_2 + \frac{1}{3} x_3 + \frac{1}{12} x_2 + \frac{1}{12} x_3 + \frac{1}{20} x_2 + \cdots + \frac{1}{n} x_n $$
$$ = x_1 + \sum_{n=2}^\infty \frac{1}{n(n-1)} x_2 + \sum_{n=3}^\infty \frac{2}{n(n-1)} x_3 + \sum_{n=4}^\infty \frac{3}{n(n-1)} x_4 + \cdots + \sum_{k=n}^\infty \frac{n-1}{k(k-1)} x_n $$

in general, ## \sum_{n=1}^m \frac{1}{n(n-1)} = \sum_l ( \frac{1}{n} - \frac{1}{n+1} ) = 1 - \frac{1}{2} + \frac{1}{2} - \frac{1}{3} + \frac{1}{3} + \cdots \frac{1}{m-1} - \frac{1}{m} - \frac{1}{m+1} ## The sum collapses like a telescope and everything is canceled out except for the first and last terms. Its limit as ## m \longrightarrow \infty ## is ##1##. So,

$$ = x_1 + x_2 + x_3 + \cdots + x_n = \sum_{k=1}^n x_k$$

The infinite series ## \sum_{n=1}^\infty x_n = 1 - 1 + 1 - 1 + \cdots ## diverges since its value alternates between 0 and 1. But, we write ## \sum_n x_n = \sum_l y_l ## and assume the new series converges to a number ##S##.

##\sum_l y_1 = S = 1 + 1 - 1 + 1 + \cdots##

subtract ##1## from both sides

##S - 1 = -1 + 1 + 1 - + \cdots##
##S -1 = - S##
##S = \frac{1}{2}##

i'm unsure about the part where ##S## is used as a variable for a mere algebra trick. it seems like the result from the first part of the question isn't really used.
 
Physics news on Phys.org
What is this for? What you have written is incomplete.

You ended up with a divergent series. There are ways to generalize summation for divergent series, but when those techniques are applicable is a specialized topic.
 
Last edited:
caz said:
What is this for? What you have written is incomplete.

You ended up with a divergent series. There are ways to generalize summation for divergent series, but when those techniques are applicable is a specialized topic.
I'm sorry. forgot to include the question.
proovve.png
 
In regards to the first part, you are almost there. You need to utilize the fact that Σxk converges. For the second part, while I have not done it, I assume that they want you to generate and find the limit of Σyk for xk=±1. Hint: look at the partial sums.
 
Last edited:
caz said:
In regards to the first part, you are almost there. You need to utilize the fact that Σxk converges.
##\sum x_k## converges to a sum and ##\sum x_k = \sum y_n##, so the latter converges.

caz said:
For the second part, while I have not done it, I assume that they want you to generate and find the limit of Σyk for xk=±1. Hint: look at the partial sums.

I found a few different approaches here, but could not figure out the method you're describing. could you please drop another hint? By Cesaro Sum: The Cesaro sum is one way to assign a value to a divergent series. It computes the arithmetic mean of the first ##n## partial sums and take its limit as ##n\to \infty##.

The partial sums of the Grandi's series are ##\{1,0,1,0,1,...\}##. The average of the first ##2n-1## terms is ##\frac{n}{2n-1}## and the average of the first ##2n## terms is ##\frac{1}{2}##. So, the sequence of averages is ##\{ 1, \frac{1}{2}, \frac{2}{3}, \frac{1}{2}, \frac{3}{5},...\}##
$$ \lim_{n \to \infty} \frac{s_1+s_2+s_3+\cdots + s_n}{n} = \frac{1}{2}$$
The Cesaro sum of Grandi's series is ##1/2##.

By Abel's Theorem: Abel's theorem states the sum of a power series that converges for ##|x|<1## , then the value of the series at ##x=1## is the limit of the series as ##x## tends to ##1## from inside of the interval.

Evaluated at ##x=1##, $$\sum_{k=0}^\infty(-x)^k$$ becomes $$\sum_{n=0}^\infty (-1)^n$$ The first series converges to ##\frac{1}{1+x}## with the radius of convergence of ##|x|<1##. By abel's theorem, the value of the series at ##x=1## is ##\frac{1}{1+1}=\frac{1}{2}##.
 
I looked at this too quickly the first time. I am not a hardcore math guy, so if someone knows a better approach ...

1) Unless I am missing something ##\sum \frac{1}{n(n-1)} = \sum ( \frac{1}{n-1} - \frac{1}{n} )## and you have not dealt with the fact that you do not always start with n=2 and that there are constants multiplying the xk in the individual sums.
2) Regardless, you can only rearrange terms in a series and preserve the limit in general if it is absolutely convergent. Since the xk∈ℝ, this series could only be conditionally convergent
3) I believe that this problem is being used to motivate Cesaro Sums.
4) If you look at the sequence of partial sums of yk it is the sequence of averages of the partial sums of xk
5) Since xk converges, you can get the partial sums of xk arbitrarily close to the limit so you can also get the averages arbitrarily close although it may take you more terms.
 
Last edited:
caz said:
1) Unless I am missing something ##\sum \frac{1}{n(n-1)} = \sum ( \frac{1}{n-1} - \frac{1}{n} )## and you have not dealt with the fact that you do not always start with n=2 and that there are constants multiplying the xk in the individual sums.
Terms that sum from ##k>2##,
$$ \sum_{n = k}^m \frac{k-1}{n(n-1)} = \sum_{n = k}^m (k-1) \Big( \frac{1}{n-1} - \frac{1}{n} \Big) = (k-1) \Big( \frac{1}{k-1} + \frac{1}{m-1} - \frac{1}{m} - \frac{1}{m+1} \Big) \longrightarrow 1 \quad \text{as}\quad m \longrightarrow \infty $$
so each constant multiplying the ##k_x## sums to 1.

caz said:
2) Regardless, you can only rearrange terms in a series and preserve the limit in general if it is absolutely convergent. Since the xk∈ℝ, this series could only be conditionally convergent
the problem says given a convergent ##\sum x_k## show that ##\sum x_k = \sum y_k##, so seems like there is no need to think about conditionally convergent..
 
oops.. I posted early by accident... will follow up soon
 
caz said:
3) I believe that this problem is being used to motivate Cesaro Sums.
4) If you look at the sequence of partial sums of yk it is the sequence of averages of the partial sums of xk
5) Since xk converges, you can get the partial sums of xk arbitrarily close to the limit so you can also get the averages arbitrarily close although it may take you more terms.
$$\sum x_k = 1-1+1-1+1-1+\cdots$$

$$\text{partial sum of x_k}= \quad \begin{cases} s_i = 1 & \text{if i is odd} \quad \\ s_i = 0 & \text{if i is even} \end{cases}$$

$$\sigma_n = \frac{s_1 + s_2 + \cdots + s_n}{n}= \sum_{i=1}^n y_i$$

##s_n \longrightarrow 1/2## as ##n \longrightarrow \infty## and ##\sigma_n \longrightarrow s## as ##n \longrightarrow \infty##

$$\sigma_n = \begin{cases} 1/2 & \text{if n is odd} \quad \\ \frac{n+1}{2n} & \text{if n is even} \end{cases}$$

$$\lim_{n \rightarrow \infty} \frac{n+1}{2n} = \frac{1}{2}$$
so $$\sigma_n \longrightarrow \frac{1}{2}$$
 
  • #10
The partial sums of the yk are equivalent to Cesaro partial sums of xk so this problem motivates Cesaro Sums. This first part of the problem is about showing that a convergent series has the same limit as it’s Cesaro Sum. I think you are incorrect in not thinking about conditional convergence.
edit:
IMG_20220405_0001.png

You do not need to say Cesaro anywhere. The first part is to show if the sequence (pk) converges, then the sequence (##\sum_{n = 1}^k \frac{p_n}{k}##) converges to the same value. The second part is to use yk to calculate the "limit".
 
Last edited:
  • #11
caz said:
The partial sums of the yk are equivalent to Cesaro partial sums of xk so this problem motivates Cesaro Sums. This first part of the problem is about showing that a convergent series has the same limit as it’s Cesaro Sum. I think you are incorrect in not thinking about conditional convergence.
edit:
View attachment 299465
You do not need to say Cesaro anywhere. The first part is to show if the sequence (pk) converges, then the sequence (##\sum_{n = 1}^k \frac{p_n}{k}##) converges to the same value. The second part is to use yk to calculate the "limit".
Oh ok.. I undertand. The series converges, so the sequence of the averages of partial sums converges too, I think my professor mentioned it is a Cauchy convergent sequence.
 

Similar threads

  • · Replies 9 ·
Replies
9
Views
4K
  • · Replies 4 ·
Replies
4
Views
2K
  • · Replies 14 ·
Replies
14
Views
2K
  • · Replies 17 ·
Replies
17
Views
2K
  • · Replies 29 ·
Replies
29
Views
7K
  • · Replies 7 ·
Replies
7
Views
2K
  • · Replies 53 ·
2
Replies
53
Views
10K
  • · Replies 9 ·
Replies
9
Views
3K
  • · Replies 11 ·
Replies
11
Views
3K
  • · Replies 2 ·
Replies
2
Views
2K