Understanding Equality in Convolution: A Scientist's Perspective

  • Context: Graduate 
  • Thread starter Thread starter SNES
  • Start date Start date
Click For Summary
SUMMARY

The discussion centers on the concept of equality in convolution, specifically questioning its validity in a given context. The participant, SNES, emphasizes that the equality is generally not true without additional context. The conversation highlights the need for clarity regarding the conditions under which convolution equality holds, indicating that understanding the underlying principles is crucial for accurate application.

PREREQUISITES
  • Understanding of convolution in signal processing
  • Familiarity with mathematical proofs and inequalities
  • Knowledge of the context in which convolution is applied
  • Basic principles of functional analysis
NEXT STEPS
  • Research the properties of convolution in signal processing
  • Study the conditions for equality in convolution operations
  • Explore mathematical proofs related to convolution
  • Learn about functional analysis and its applications in convolution
USEFUL FOR

Mathematicians, signal processing engineers, and students studying convolution and its applications in various fields.

SNES
Messages
2
Reaction score
0
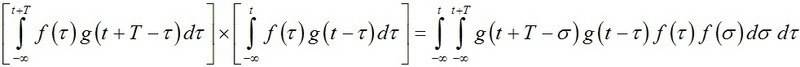
Hello.

I can't figure out why the equality in the attached file is true.
Please, could you help me?

Thank you.
SNES
 

Attachments

  • eqn.jpg
    eqn.jpg
    7.9 KB · Views: 259
Physics news on Phys.org
In general it's not. What is the context?
 
EnumaElish said:
In general it's not. What is the context?
Convolution?
 

Similar threads

  • · Replies 2 ·
Replies
2
Views
3K
  • · Replies 8 ·
Replies
8
Views
3K
  • · Replies 3 ·
Replies
3
Views
2K
  • · Replies 9 ·
Replies
9
Views
3K
  • · Replies 2 ·
Replies
2
Views
1K
  • · Replies 3 ·
Replies
3
Views
1K
Replies
4
Views
2K
  • · Replies 4 ·
Replies
4
Views
3K
  • · Replies 10 ·
Replies
10
Views
3K
  • · Replies 3 ·
Replies
3
Views
1K