Understanding Equations for Beginners

Click For Summary
SUMMARY

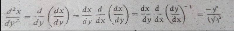
This discussion focuses on understanding the differentiation of the equation represented as ##\frac{dx}{dy}\frac d{dx}\left(\frac{dy}{dx}\right)^{-1}##. The user clarifies the notation by substituting ##y'## for ##\frac{dy}{dx}##, transforming the equation into $$\frac1{y'}\frac d{dx}\left(\frac 1{y'}\right)$$. The key takeaway is the realization of the negative sign during differentiation, which is crucial for grasping the underlying mathematical principles.

PREREQUISITES
  • Understanding of basic calculus concepts, particularly differentiation.
  • Familiarity with notation such as ##\frac{dy}{dx}## and ##y'##.
  • Knowledge of inverse functions and their derivatives.
  • Ability to manipulate algebraic expressions involving derivatives.
NEXT STEPS
  • Study the rules of differentiation, focusing on the product and quotient rules.
  • Learn about inverse functions and their derivatives in calculus.
  • Practice solving differential equations to reinforce understanding.
  • Explore advanced topics in calculus, such as implicit differentiation.
USEFUL FOR

Students and educators in mathematics, particularly those beginning their studies in calculus and differentiation techniques.

funlord
Messages
15
Reaction score
1
I can's understand the fact about the equation

i can't prove the equation from the first attachment to the second attachment pls help.

Sorry for bad english
 

Attachments

  • IMG_20160618_100935.jpg
    IMG_20160618_100935.jpg
    13.6 KB · Views: 514
  • 2.jpg
    2.jpg
    20.8 KB · Views: 537
Physics news on Phys.org
The second last formula is ##\frac{dx}{dy}\frac d{dx}\left(\frac{dy}{dx}\right)^{-1}##.
If we write ##y'## for ##\frac{dy}{dx}## then that is
$$\frac1{y'}\frac d{dx}\left(\frac 1{y'}\right)$$
What happens when you perform the differentiation?
 
  • Like
Likes   Reactions: funlord
Thank you very much, I can understand now why it has a negative sign
 

Similar threads

  • · Replies 3 ·
Replies
3
Views
2K
Replies
0
Views
3K
  • · Replies 2 ·
Replies
2
Views
3K
  • · Replies 3 ·
Replies
3
Views
3K
  • · Replies 1 ·
Replies
1
Views
3K
  • · Replies 8 ·
Replies
8
Views
4K
  • · Replies 1 ·
Replies
1
Views
2K
  • · Replies 12 ·
Replies
12
Views
7K
  • · Replies 24 ·
Replies
24
Views
4K
  • · Replies 3 ·
Replies
3
Views
3K