Understanding luminol under ultrasound

  • Thread starter Thread starter rwooduk
  • Start date Start date
  • Tags Tags
    Ultrasound
Click For Summary
SUMMARY

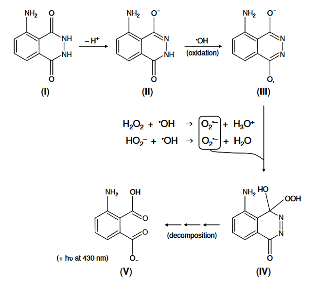
This discussion focuses on the sonochemical activity of luminol in the presence of hydroxyl radicals generated by ultrasound. The addition of NaOH at pH 13 transforms luminol into a monoanionic form, facilitating its reaction with hydroxyl radicals. The competition between the oxidation of monoanionic luminol and the formation of superoxide anion radicals is critical, as superoxide production limits light emission. Additionally, the decomposition of the hydroperoxide addition product involves a "dark reaction" and an unstable endoperoxide intermediate, which plays a significant role in the reaction mechanism.

PREREQUISITES
  • Understanding of sonochemistry and ultrasound effects on chemical reactions
  • Knowledge of luminol chemistry and its reaction mechanisms
  • Familiarity with radical chemistry, specifically hydroxyl and superoxide radicals
  • Basic concepts of acid-base chemistry, particularly diprotic acids
NEXT STEPS
  • Research the mechanisms of luminol chemiluminescence in detail
  • Study the role of hydroxyl radicals in sonochemical reactions
  • Examine the kinetics of superoxide anion radical formation
  • Explore the concept of "dark reactions" in chemical processes
USEFUL FOR

Chemists, researchers in sonochemistry, and anyone interested in the mechanisms of chemiluminescence and radical chemistry.

rwooduk
Messages
757
Reaction score
59
Basically, we use luminol to give a measure of sonochemical activity since it reacts with hydroxyl radicals (formed when water is disassociated with ultrasound). I would like to understand the chemistry of the reaction a little more and would very much appreciate any insights. Here is the reaction scheme:

I8RMU4N.png


This is what I would like to ask:

1) NaOH (pH 13) is added to the luminol solution, which makes the amphoteric (can be base or acid) luminol a weak a weak diprotic acid (it can give 2 hydrogen atoms to solution), does the high pH of solution cause the formation of the ##-H^{+}## to make the luminol monoanionic?

2) For (III) to (IV). This seems to be a competition for the hydroxyl radicals. The radicals oxidise the monoanionic luminol (II to III), but also (in other reactions with the water products) form the superoxide anion radical. How would I determine which of the reactions dominate? Superoxide production is known to be the limiting step for light emission, is this because the (II) to (III) reaction would dominate?

3) The decomposition stage (IV) to (V), I believe, involves decomposition of the hydroperoxide addition product (IV). This occurs via a "dark reaction" and "a concerted mechanism involving an unstable endoperoxide intermediate". "Dark" reactions, according to google, are involved where the reaction does not require light, why is it mentioned here? Also, what is and what would be the role of the "unstable endoperoxide intermediate"?

Details from: H. McMurray, B. Wilson, Mechanistic and spatial study of ultrasonically induced luminol chemiluminescence, J. Phys. Chem. A, 103 (1999) 3955-3962.

Thanks in advance for any help in further understanding this process.
 
Last edited:
Chemistry news on Phys.org
at 1) Yes
at 2) The rate of production of the dioxide anion should depend on the concentration of H2O2. If this were the rate determining step, you should see a rate dependence on H2O2 concentration.
 
  • Like
Likes   Reactions: rwooduk
DrDu said:
at 1) Yes
at 2) The rate of production of the dioxide anion should depend on the concentration of H2O2. If this were the rate determining step, you should see a rate dependence on H2O2 concentration.

Thank you!
 

Similar threads

  • · Replies 1 ·
Replies
1
Views
2K