Understanding Positive Orientation of Point C

Click For Summary

Homework Help Overview

The discussion revolves around understanding the positive orientation of a curve C as viewed from the point (10,0,0). Participants are attempting to clarify the implications of this orientation in relation to the problem at hand.

Discussion Character

  • Conceptual clarification, Assumption checking

Approaches and Questions Raised

  • Participants express uncertainty about the meaning of positive orientation from the specified viewpoint and whether the path C is closed. Some suggest that the orientation might be misinterpreted based on the viewing point.

Discussion Status

The conversation is ongoing, with participants exploring different interpretations of the problem. Some have suggested seeking clarification from a teacher, while others are questioning the correctness of the integral and the orientation based on the given point.

Contextual Notes

There is mention of the original poster's use of images instead of text for equations, which may limit the clarity of the discussion. Additionally, there are references to similar problems that involve positive orientation and their respective results, indicating a broader context for understanding the current problem.

etf
Messages
179
Reaction score
2
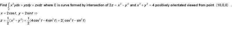
Here is my task and my attempt of solution:

line.jpg


How to use fact that C is positively orientated viewed from point (10,0,0)? I'm not sure I understand it.
 
Physics news on Phys.org
It would be much more convenient for us if you would type your question and work on this site instead of posting un-editable images and which require us to open another window.
 
etf said:
How to use fact that C is positively orientated viewed from point (10,0,0)? I'm not sure I understand it.

Me neither. Perhaps it meant (0,0,10). I would just work it going either direction for ##\theta## and see what happens.
 
etf said:
Here is my task and my attempt of solution:

View attachment 65981

How to use fact that C is positively orientated viewed from point (10,0,0)? I'm not sure I understand it.
Here is the image:
attachment.php?attachmentid=65981&d=1390608864.jpg


Is C supposed to be a closed path ?
 
SammyS said:
Is C supposed to be a closed path ?

It's closed alright. Here's a picture of it:

curve.jpg
 
LCKurtz said:
It's closed alright. Here's a picture of it:
...
Yes the intersection makes a complete loop, but if the instruction is correct regarding the view from (10, 0, 0), then only part of that path is oriented in a positive direction.

That's why I asked (the OP) if the path is supposed to be closed. If so then the point (10, 0, 0) is incorrect as you have suggested.
 
It would be much more convenient for us if you would type your question and work on this site instead of posting un-editable images and which require us to open another window.
I didn't learn latex yet so that's reason why I'm posting images. I could write my equations here but I thought it would be much easier for you to follow if I "draw" it using MathType software.

It's (10,0,0) point, I didn't make mistake... I'm still uncertain about solving this problem...
I forgot to write, result is pi.
 
Last edited:
etf said:
I didn't learn latex yet so that's reason why I'm posting images. I could write my equations here but I thought it would be much easier for you to follow if I "draw" it using MathType software.

It isn't.

It's (10,0,0) point, I didn't make mistake... I'm still uncertain about solving this problem...
I forgot to write, result is pi.

I think you had best ask your Teacher to clarify. It makes sense to talk about clockwise or counterclockwise orientation if you look down at it along the ##z## axis, but not from out the ##x## axis. And I don't see any interpretation of the problem that gives ##\pi## for the answer. Are you sure you copied the integral itself correctly?
 
I copied it correctly. I will ask teacher for help.
Thanks anyway!
 
  • #10
etf said:
I copied it correctly. I will ask teacher for help.
Thanks anyway!

I would be interested to know what your teacher tells you.
 
  • #11
I will inform you as soon as he explain me.
 
  • #12
Here are few examples with similar statement:

1.Find [tex]\int\limits_C{} {{y^2}dx + xdy + zdz}[/tex] where C is curve formed by intersection of [tex]{x^2} + {y^2} = x + y[/tex] and [tex]2({x^2} + {y^2}) = z[/tex] orientated positively viewed from point (0,0,2R). (Result 0)

2.Find [tex]\int\limits_C {(y - z)dx + (z - x)dy + (x - y)} dz\\[/tex] where C is curve formed by intersection of [tex]{x^2} + {y^2} = {a^2}[/tex] and [tex]\frac{x}{a} + \frac{z}{h} = 1[/tex] (a greather than 0, h greather than 0), passed in positive direction viewed from point (2a,0,0). (Result -2*pi*a*(a+h))
 
Last edited:

Similar threads

Replies
14
Views
3K
  • · Replies 1 ·
Replies
1
Views
1K
  • · Replies 3 ·
Replies
3
Views
2K
  • · Replies 21 ·
Replies
21
Views
4K
  • · Replies 1 ·
Replies
1
Views
3K
Replies
5
Views
2K
  • · Replies 14 ·
Replies
14
Views
2K
  • · Replies 5 ·
Replies
5
Views
2K
Replies
8
Views
3K
  • · Replies 5 ·
Replies
5
Views
4K