Unit for Gravitational Attraction Between Objects?

Click For Summary

Homework Help Overview

The discussion revolves around calculating the gravitational attraction between two objects with masses of 200g and 1kg, placed 10 cm apart. The original poster seeks clarification on the appropriate unit for expressing gravitational force and the correct application of the gravitational constant in calculations.

Discussion Character

  • Conceptual clarification, Mathematical reasoning, Assumption checking

Approaches and Questions Raised

  • Participants explore the correct unit for gravitational force, with initial suggestions pointing to Newtons. There is also discussion on the formula for gravitational force and the necessity of unit consistency, particularly converting grams to kilograms and centimeters to meters.

Discussion Status

Some participants confirm the original poster's understanding of units, while others provide guidance on unit conversion and the application of the gravitational constant. There is an ongoing exploration of how to properly set up the calculation, with no explicit consensus reached on the final approach.

Contextual Notes

Participants note that the problem involves unit manipulation and that the original poster claims the question is not part of their curriculum, suggesting a potential gap in familiarity with the mathematical concepts involved.

Thrawn
Messages
30
Reaction score
0

Homework Statement


Homework Statement


Two objects, one with a mass of 200g, and the other with a mass of 1 kg are placed 10 cm apart. What is the gravitational attraction between the objects?

Background: I'm performing an experiment in which a horizontal beam is suspended just above the ground with weights at either end. The larger weights are placed away from the smaller ones, so that the beam would have to turn for the distance between te large and small weights to decrease. I need to find the gravitational attraction between the objects, expressed in... well first I need to know which unit it would be expressed in.


I think it would be expressed in Newtons. Is this correct?
 
Physics news on Phys.org
Yes, you are correct.
 
hage567 said:
Yes, you are correct.

Ok, so the formula F=G(mm)/d^2 would give the force in Newtons.

The gravitational force being 6.6742 x 10^-11*m^3*s^2*kg^2

So F= 6.6742 x 10^-11*m^3*s^2*kg^2 (200g*1000g)/ 0.01 ?
(200kg)/0.01

Which would give a force of... how do I calculate using G? Everything else I can do, but what do I need to do with G?

An example question would help, and no, this is not homework, seeing as the Ontario Grade 8 curriculum most certainly does not involve such mathematics.
 
G is not a force, it is called the universal gravitational constant. It is the same everywhere. For your calculation, you must convert all your units into kg, m, s, so everything is consistent. For example in your equation you have (200g*1000g). You need to change the mass from grams to kilograms, to be consistent with the units you see in G. The same goes for distance, it must be in meters.

Thrawn said:
Ok, so the formula F=G(mm)/d^2 would give the force in Newtons.

The gravitational force being 6.6742 x 10^-11*m^3*s^2*kg^2
These units are not quite right. It should be (N*m^2/kg^2) or (m^3/s^2*kg) if you expand it out.

So F= 6.6742 x 10^-11*m^3*s^2*kg^2 (200g*1000g)/ 0.01 ? this needs to be squared
(200kg)/0.01 I don't understand what this is.

Which would give a force of... how do I calculate using G? Everything else I can do, but what do I need to do with G?
You have a value for every variable in your equation, plug the numbers in and see what you get.


An example question would help, and no, this is not homework, seeing as the Ontario Grade 8 curriculum most certainly does not involve such mathematics.
It's not too difficult, just multiplication and division.
 
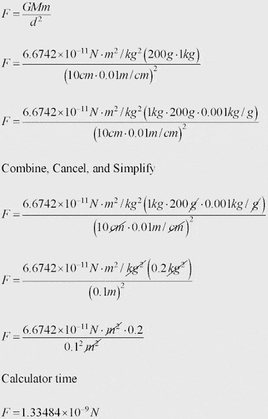
This is a good problem to get you used to unit manipulation. You did everything right, except as hage pointed out, you can't use grams because the number you are using for G only works with kilograms. I've cleaned up the math a bit so you can see step-by-step where different units combine and cancel

G2.gif
 
Last edited:

Similar threads

  • · Replies 8 ·
Replies
8
Views
2K
  • · Replies 5 ·
Replies
5
Views
3K
Replies
5
Views
2K
  • · Replies 4 ·
Replies
4
Views
2K
  • · Replies 8 ·
Replies
8
Views
2K
  • · Replies 2 ·
Replies
2
Views
2K
  • · Replies 2 ·
Replies
2
Views
5K
  • · Replies 5 ·
Replies
5
Views
3K
Replies
15
Views
3K
Replies
10
Views
4K