Use a variable substitution to get into a Bessel equation form?

Click For Summary
SUMMARY

The discussion centers on the challenge of transforming a mathematical expression into the form of a Bessel equation through variable substitution. The original poster is struggling to identify the appropriate substitution method required for this transformation. The conversation emphasizes the importance of understanding the context of the problem and the necessity of showing initial efforts in problem-solving. Participants encourage the use of specific mathematical techniques and suggest reviewing foundational concepts related to Bessel functions.

PREREQUISITES
  • Understanding of Bessel functions and their properties.
  • Familiarity with variable substitution techniques in calculus.
  • Knowledge of differential equations and their standard forms.
  • Basic problem-solving skills in mathematical contexts.
NEXT STEPS
  • Research the properties and applications of Bessel functions.
  • Study variable substitution methods in differential equations.
  • Explore examples of transforming equations into Bessel form.
  • Practice solving differential equations that involve Bessel functions.
USEFUL FOR

Students studying mathematics, particularly those focusing on differential equations and Bessel functions, as well as educators seeking to guide learners through variable substitution techniques.

ipat918
Messages
2
Reaction score
0
Homework Statement
Use a variable substitution to get into a Bessel equation form?
Relevant Equations
Bessel equation
Hello,

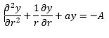
For my homework I am supposed to get-
242729

into the form of a Bessel equation using variable substitution. I am just not sure what substitution to use.
Thanks in advance.
 

Attachments

  • 1556701769123.png
    1556701769123.png
    698 bytes · Views: 253
Physics news on Phys.org
Forum rules require you to show your efforts at finding a solution. Also, please state the entire problem as given.
 
Hello,

I apologize, I didn't read the rules properly beforehand. The question is part of a much longer, complex question, this is just the part I am stuck on and it is literally all the information I have to solve it. As for my efforts, well there are none right now. I have no idea where to even start on guessing what substitution to use.

Thanks
 

Similar threads

  • · Replies 5 ·
Replies
5
Views
3K
  • · Replies 9 ·
Replies
9
Views
2K
  • · Replies 4 ·
Replies
4
Views
3K
  • · Replies 28 ·
Replies
28
Views
3K
  • · Replies 4 ·
Replies
4
Views
2K
  • · Replies 2 ·
Replies
2
Views
2K
Replies
8
Views
2K
  • · Replies 3 ·
Replies
3
Views
2K
  • · Replies 12 ·
Replies
12
Views
2K
  • · Replies 3 ·
Replies
3
Views
3K