Using Euler's Method to find the general solution to the diff. equation

Click For Summary
SUMMARY

The discussion focuses on deriving the general solution to the differential equation y″(x) = −y(x) using Euler's Method and Taylor series. The solution is established as y(x) = Acos(x) + Bsin(x), where A and B are arbitrary constants. Participants emphasize the importance of using the Taylor series representations for sine and cosine functions to arrive at the solution. The derivation involves manipulating power series and applying recursion formulas to find coefficients.

PREREQUISITES
  • Understanding of differential equations, specifically second-order linear equations.
  • Familiarity with Taylor series and their applications in function approximation.
  • Knowledge of power series and coefficient comparison techniques.
  • Basic skills in mathematical notation and manipulation of series.
NEXT STEPS
  • Study the derivation of Taylor series for sine and cosine functions.
  • Learn about recursion relations in power series and their applications in solving differential equations.
  • Explore the concept of fundamental solutions for linear differential equations.
  • Investigate Euler's Method and its application in numerical solutions of differential equations.
USEFUL FOR

Mathematicians, physics students, and anyone interested in solving differential equations using series methods and Euler's Method.

manzneedshelp
Messages
1
Reaction score
0
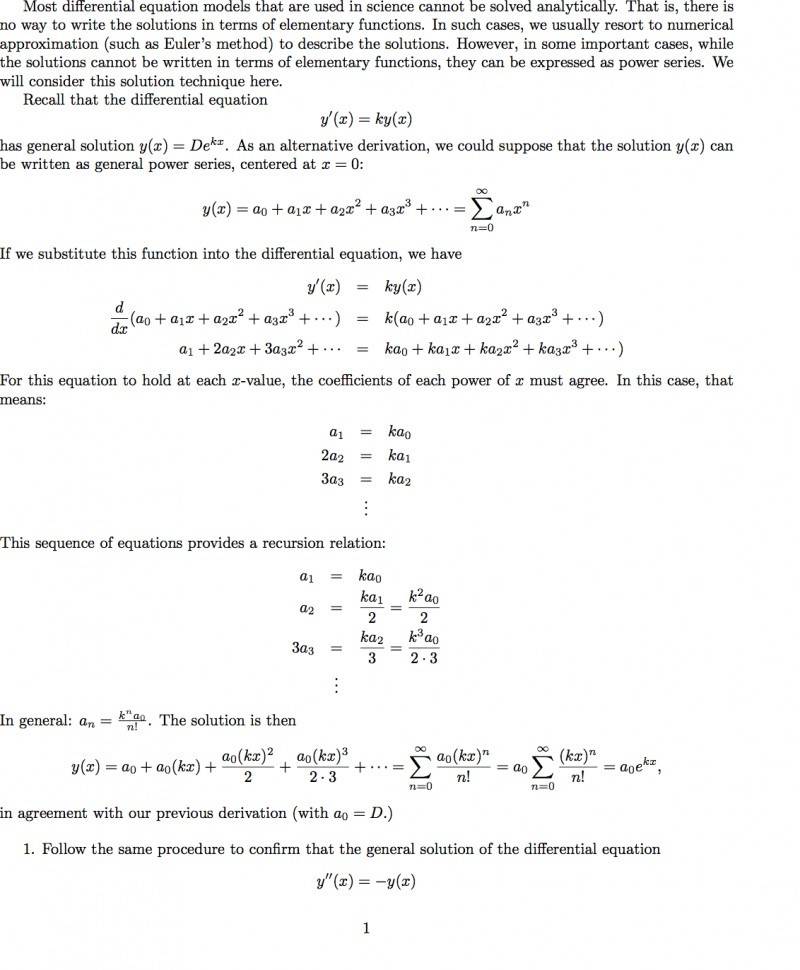
Could someone please provide guidance on how to begin this problem? I've attached the preface to the assignment question.Show that the general solution of the differential equation
y″(x)=−y(x)
is
y(x)=Acos(x)+Bsin(x)
where A and B are arbitrary constants. Hint: You'll need the Taylor series representations for sin and cos.View attachment 8274
 

Attachments

  • 1_2.jpg
    1_2.jpg
    71.2 KB · Views: 126
Physics news on Phys.org
"Start" by doing exactly what was done in the excerpt you post! Look for a solution of the form $y= \sum_{n=0}^\infty a_nx^{n}$. Then $y'= \sum_{n=1}^\infty na_nx^{n-1}$ and $y''= \sum_{n= 2}^\infty n(n-1)a_nx^{n-2}$. The differential equation y''= -y becomes $\sum_{n=2}^\infty n(n-1)a_nx^{n-2}= \sum_{n=0}^\infty -a_nx^{n}$. In order to compare them "term by term" we want to adjust the exponent on the left: let j= n- 2.
Then n= j+ 2. When n= 2, j= 0 . Of course "going to infinity" the difference between n and n- 2 doesn't matter. The sum on the left becomes $\sum_{j= 0}^\infty (j+ 2)(j+1)a_{j+ 2}x^{j}$. But the indices in these sums are "dummy indices". The results of the sums won't have an "n" or a "j" in them. We can as easily use "n" instead of "j" on the right. We can write that equation as
$\sum_{n=0}^\infty (n+2)(n+1)a_{n+2}x^n= \sum_{n=0}^\infty -a_n x^n$.

If a two power sums are equal then "corresponding coefficients" are equal- we must have $(n+2)(n+ 1)a_{n+2}= -a_n$ for all n. Of course, that means we must have $a_{n+2}= -\frac{a_n}{(n+2)(n+1)}$.

Now look at the "fundamental solutions" to this equation. For a linear second order equation such as this the "fundamental solutions" are (1) the solution that satisfies y(0)= 0, y'(0)= 1 and (2) the solution that satisfies y(1)= 1, y'(0)= 0. Those will give two independent solutions so that any solution can be written as a linear combination of them.
If y(0)= 0 and y'(0)= 1 then $a_0= 0$ and $a_1= 1$. By the recursion formula, $a_{n+2}= -frac{a_n}{(n+1)(n+2)}$, it is easy to see that $a_2= -\frac{a_0}{1(2)}= 0$, $a_4= -\frac{a_2}{2(3)}= 0$, etc. $a_n= 0$ for all EVEN n. By that same recursion formula, $a_3= -\frac{a_1}{2*3}= \frac{1}{3!}$, $a_5= -\frac{a_3}{4(5)}= -\frac{-11}{2(3)(4)(5)}= \frac{1}{5!}$. Continuing like that it is easy to see that $a_{2n+1}= \frac{(-1)^n}{(2n+1)!}$. So the solution to y'= -y such that y(0)= 0, y'(1)= 1 is $y(x)= \sum_{n=0}^n \frac{(-1)^n}{(2n+1)!}x^{2n+1}$. Now what function has that power series? (Remember that your text specifically said "Hint: You'll need the Taylor series representations for sin and cos.")
 

Similar threads

  • · Replies 1 ·
Replies
1
Views
4K
  • · Replies 3 ·
Replies
3
Views
2K
  • · Replies 52 ·
2
Replies
52
Views
10K
  • · Replies 8 ·
Replies
8
Views
3K
  • · Replies 5 ·
Replies
5
Views
2K
  • · Replies 2 ·
Replies
2
Views
3K
  • · Replies 3 ·
Replies
3
Views
2K
  • · Replies 9 ·
Replies
9
Views
3K
  • · Replies 3 ·
Replies
3
Views
4K
  • · Replies 16 ·
Replies
16
Views
3K