Using gamma function to solve an integral

Click For Summary
SUMMARY

The discussion focuses on solving the integral $$\int^\infty_0 e^{-\frac{2x}{\theta}}x \,dx$$ using the gamma function. The integral is transformed by substituting \(t = \frac{2x}{\theta}\), leading to the expression $$\frac{\theta^2}{4}\int^\infty_0 t e^{-t} \,dt$$. The confusion arises from the manipulation of the exponent and the division by \((2/\theta)^2\) to arrive at the gamma function representation. The key takeaway is understanding how to apply the gamma function definition, specifically \( \Gamma(a) = \int_0^\infty y^{a-1} e^{-y} \, dy\), to simplify the integral.

PREREQUISITES
  • Understanding of the gamma function and its properties
  • Knowledge of integral calculus, specifically improper integrals
  • Familiarity with substitution methods in integration
  • Basic grasp of exponential functions and their manipulations
NEXT STEPS
  • Study the properties of the gamma function, particularly \( \Gamma(n) = (n-1)! \)
  • Learn about integration techniques involving substitution, especially in exponential integrals
  • Explore advanced applications of the gamma function in probability and statistics
  • Investigate the relationship between the gamma function and factorials in combinatorial contexts
USEFUL FOR

Mathematicians, students studying calculus, and anyone interested in advanced integration techniques and the applications of the gamma function in solving integrals.

mathjam0990
Messages
28
Reaction score
0
Hello,

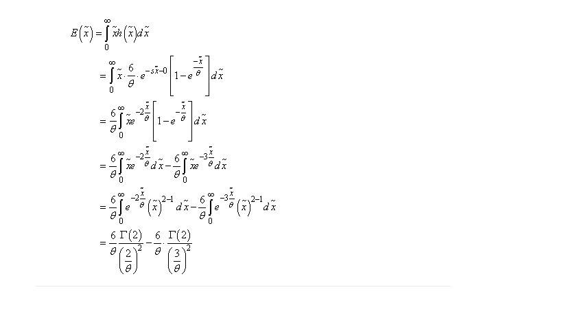
I have attached a picture of the integral I am solving. I understand at the end how they turned the function (in the second to last step) into gamma(2) BUT what I do not understand is how you can simply just remove the (2/theta) out of the exponent of e, turn it into gamma(2) then divide it by (2/theta)^2 in that last step. Based on the fact that gamma(a) = integral of [ya-1 * e-y]dy I see for this particular example in question that the (2/theta) is out of place (so to say) if we are trying to get our integral to take the form of the integral equaling gamma(a). So, with all that being said, how can we simply just take that (2/theta) out of the exponent of e, turn the whole thing into a gamma and then just divide by (2/theta)^2 ?? Is there a trick or something I am overlooking? Please help me if you can!

Thank you!
 

Attachments

  • Untitled.jpg
    Untitled.jpg
    17.1 KB · Views: 139
Physics news on Phys.org
Let us solve

$$\int^\infty_0 e^{-\frac{2x}{\theta}}x \,dx $$

Let $t = \frac{2x}{\theta}$ which implies that $dx = \frac{\theta}{2}dt$

$$\int^\infty_0 e^{-t}\times \frac{\theta}{2}t \times \frac{\theta}{2} \,dt = \frac{\theta^2}{4}\int^\infty_0t e^{-t}\,dt$$

Then use the definition of the gamma function
 
Thank you ZaidAlyafey!
 

Similar threads

  • · Replies 2 ·
Replies
2
Views
3K
  • · Replies 3 ·
Replies
3
Views
2K
  • · Replies 3 ·
Replies
3
Views
8K
  • · Replies 6 ·
Replies
6
Views
2K
  • · Replies 1 ·
Replies
1
Views
2K
  • · Replies 7 ·
Replies
7
Views
7K
  • · Replies 2 ·
Replies
2
Views
2K
Replies
1
Views
1K
  • · Replies 4 ·
Replies
4
Views
3K
  • · Replies 6 ·
Replies
6
Views
2K