What are the implications of x=0 in terms of function derivability?

  • Context: MHB 
  • Thread starter Thread starter Noismaker
  • Start date Start date
  • Tags Tags
    Function
Click For Summary
SUMMARY

The discussion focuses on the implications of x=0 in terms of differentiability of the function f(x) = x^x. It establishes that f(x) is differentiable for all positive and negative x by utilizing logarithmic differentiation. However, at x=0, the derivative is evaluated using the limit definition, revealing that it does not exist, indicating a point of non-differentiation. This analysis confirms that x=0 represents a cusp or angular point in the function's graph.

PREREQUISITES
  • Understanding of differentiability and its mathematical implications
  • Familiarity with logarithmic differentiation techniques
  • Knowledge of limits and their application in calculus
  • Basic concepts of function behavior at critical points
NEXT STEPS
  • Study the concept of logarithmic differentiation in depth
  • Explore the properties of limits in calculus, particularly at critical points
  • Investigate the graphical interpretation of cusps and angular points in functions
  • Learn about the implications of differentiability in real analysis
USEFUL FOR

Mathematics students, calculus instructors, and anyone interested in advanced function analysis and differentiability concepts.

Noismaker
Messages
2
Reaction score
0

Attachments

  • snip_20170527101603.png
    snip_20170527101603.png
    1.4 KB · Views: 123
Physics news on Phys.org
I think "differentiability" would be a better word than "derivability" since that might be confused with the ability to "derive" a formula. In any case, the first thing I would do is remove the "absolute value" by looking at x positive or negative separately.

If x is positive, then [tex]f(x)= x^x[/tex] and, taking the logarithm of both sides, log(f(x))= x log(x). Differentiating, [tex]f'(x)/f(x)= log(x)+ 1[/tex] so that [tex]f'(x)= (log(x)+ 1)f(x)= (log(x)+ 1)x^x[/tex]. That exists for all positive x so f(x) is differentiable for all positive x.

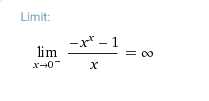
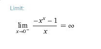
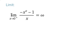
If x is negative, make the substitution y= -x. |x|= -x= y so that [tex]x^x= y^{-y}[/tex]. Again take the logarithm of both sides of [tex]f(y)= y^{-y}[/tex], [tex]log(f(y))= -ylog(y)[/tex]. Differentiating, [tex]f'(y)/f(y)= -log(y)- 1[/tex] so that [tex]f'(y)= -f(y)(log(y)+ 1)= -y^y(log(y)+ 1) and, since dy/dx= 0, [tex]f'(x)= (-x)^x(log(|x|)+ 1)[/tex]. That exists for all negative x so f(x) is differentiable for all negative x.<br /> <br /> Finally, look at x= 0. The derivative of f(x) at x= 0 is [tex]\lim_{h\to 0} \frac{f(h)- f(0)}{h}= \lim_{h\to 0}\frac{h^h- 1}{h}[/tex]. Does that limit exist?[/tex]
 

Attachments

  • snip_20170527203006.png
    snip_20170527203006.png
    735 bytes · Views: 121
  • snip_20170527203041.png
    snip_20170527203041.png
    602 bytes · Views: 110
  • snip_20170527203113.png
    snip_20170527203113.png
    584 bytes · Views: 106

Similar threads

  • · Replies 4 ·
Replies
4
Views
3K
  • · Replies 11 ·
Replies
11
Views
3K
  • · Replies 3 ·
Replies
3
Views
3K
  • · Replies 6 ·
Replies
6
Views
3K
  • · Replies 14 ·
Replies
14
Views
2K
  • · Replies 15 ·
Replies
15
Views
2K
  • · Replies 5 ·
Replies
5
Views
3K
  • · Replies 15 ·
Replies
15
Views
3K
  • · Replies 16 ·
Replies
16
Views
3K
  • · Replies 4 ·
Replies
4
Views
1K