What does this trick formula represent?

  • Thread starter Thread starter Vrock
  • Start date Start date
  • Tags Tags
    Formula
Click For Summary
SUMMARY

The discussion centers around a request for clarification on a specific trick formula. Users suggest utilizing external resources, such as the Physics Forums link provided, to gain a deeper understanding of the formula's significance. The conversation emphasizes the importance of community support in deciphering complex mathematical concepts.

PREREQUISITES
  • Understanding of mathematical formulas and their applications
  • Familiarity with physics concepts related to the formula
  • Basic knowledge of online academic forums and how to navigate them
  • Ability to interpret and analyze mathematical expressions
NEXT STEPS
  • Research the specific trick formula mentioned in the discussion
  • Explore the Physics Forums for similar mathematical inquiries
  • Study mathematical interpretation techniques for complex formulas
  • Learn about community-driven platforms for academic discussions
USEFUL FOR

Students, educators, and enthusiasts in mathematics and physics seeking clarification on complex formulas and looking to engage with academic communities for support.

Vrock
Messages
1
Reaction score
0
Trick formula question...

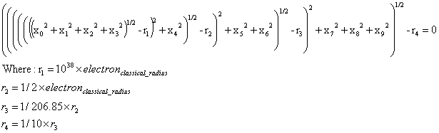
Can someone tell me what this formula represents?

image16.gif


Thanks
 
Physics news on Phys.org
Last edited by a moderator:

Similar threads

  • · Replies 2 ·
Replies
2
Views
3K
  • · Replies 3 ·
Replies
3
Views
1K
  • · Replies 9 ·
Replies
9
Views
2K
  • · Replies 3 ·
Replies
3
Views
3K
  • · Replies 8 ·
Replies
8
Views
2K
  • · Replies 2 ·
Replies
2
Views
2K
Replies
8
Views
2K
  • · Replies 5 ·
Replies
5
Views
3K
Replies
5
Views
2K