What happens when an operator maps a vector out of the Hilbert space?

Click For Summary

Discussion Overview

The discussion revolves around the implications of a linear operator mapping a wave function out of its original Hilbert space, particularly in the context of quantum mechanics. Participants explore the mathematical and physical viability of certain wave functions, the requirements for operators, and the nature of Hilbert spaces.

Discussion Character

  • Debate/contested
  • Technical explanation
  • Conceptual clarification

Main Points Raised

  • Some participants argue that the wave function ##\psi[x]=\frac{1}{\sqrt{1+|x|^3}}## is integrable but not square integrable, thus not a valid wave function in the context of quantum mechanics.
  • Others assert that an operator must produce a square integrable function when acting on a square integrable function, emphasizing the importance of adhering to mathematical definitions.
  • Some participants highlight that operators need not be defined on the entire space but can be defined on a dense subspace, referencing unbounded operators.
  • A viewpoint is presented that the original wave function is not physically viable, as it does not meet the criteria of tending to zero faster than any power of ##x## as ##|x| \to \infty##.
  • Concerns are raised regarding the unbounded first derivative of the wave function in question, which is deemed not viable.
  • Some participants discuss the implications of boundary conditions in specific quantum systems, such as the infinite square well, and how they affect the definition of operators.
  • There is a suggestion that the mathematical framework of quantum mechanics may allow for further generalizations regarding the conditions under which operators act on states.
  • Participants express uncertainty about the exact definitions of Hilbert spaces and the relevant operators in quantum mechanics, indicating a need for deeper exploration of the topic.

Areas of Agreement / Disagreement

Participants express multiple competing views regarding the validity of the wave function and the requirements for operators in quantum mechanics. There is no consensus on the physical viability of the wave function or the implications of operators mapping states out of the Hilbert space.

Contextual Notes

Limitations include the dependence on definitions of physical viability for wave functions and the mathematical properties of operators. The discussion reflects unresolved mathematical steps and the complexity of the underlying theory.

  • #31
gaiussheh said:
Well, that is actually where my confusion starts. I take an operator to be a map from a function to a function. It may not be closure in the Hilbert space, so people usually restrict its domain to, for example, the Schartz space. I just do not understand the rationale behind this. As long as your function decays faster than ##\mathrm{e}^{-x^2}##, in integrate ##\displaystyle \int f[x] \mathrm{e}^{-x^2} g[x] \mathrm{d} x## converge and it is still self adjoint. So, similar to restricting wavefunctions to the Schwartz space, you can say that the operator ##\mathrm{e}^{-x^2}## has a smaller domain and is still self-adjoint. This never comes to an end, so why would one ever do this at the beginning?
Which book/source do you follow?
 
Physics news on Phys.org
  • #32
gaiussheh said:
Well, that is actually where my confusion starts. I take an operator to be a map from a function to a function. It may not be closure in the Hilbert space, so people usually restrict its domain to, for example, the Schartz space. I just do not understand the rationale behind this. As long as your function decays faster than ##\mathrm{e}^{-x^2}##, in integrate ##\displaystyle \int f[x] \mathrm{e}^{-x^2} g[x] \mathrm{d} x## converge and it is still self adjoint. So, similar to restricting wavefunctions to the Schwartz space, you can say that the operator ##\mathrm{e}^{-x^2}## has a smaller domain and is still self-adjoint. This never comes to an end, so why would one ever do this at the beginning?
QM is a physical theory. It's supposed to model actual physical systems. It's not a mathematical game. If you were studying pure functional analysis you might have other objectives. The operators ##\hat x## and ##\hat p \equiv -i\hbar \frac d {dx}## arise out of the attempt to find the laws of nature for microscopic systems. These operators (and their linear combinations) must be accommodated by the theory. This stretches the theory of linear spaces somewhat and eventually leads to the "rigged Hilbert Space" formulation. Alternatively, you could try to formulate QM differently without these operators - I believe this can be done, although I don't know the details.

With these operators in the theory, not every function in ##L^2## is a valid wavefunction. This makes some physical sense anyway.

There is no physical justification to accommodate an operator like ##e^{x^2}##. So, you don't have to do that. You're wasting your time. That is a rabbit hole. You either find a pragmatic solution to allow linear algebra to model physical systems or you give up physics. As Griffiths mentions more than once in his Introduction to QM "a good math major can find exceptions to this ...".

Those of us who come from a mathematics background accept this (and see the benefits of this leniency).

Using the theory as it stands, you generally begin by producing the spectrum of hydrogen (Griffiths) or modelling electron spin (Sakurai). Either way, you demonstrate that the mathematical machinery you have developed (to whatever level of rigour and with whatever necessary assumptions) is useful in studying physical phenomena. That is what physics is all about.

Whereas, if you produce a mathematical model that cannot do this, then it is useless - whatever its mathematical niceties.
 
  • Like
Likes   Reactions: bhobba, Albertus Magnus and gaiussheh
  • #33
PeroK said:
The problem with functions like the one in the OP is that the inner product involving the operator ##\hat x ^2## is not defined (even if the integral is finite for the operator ##\hat x##). This is why the function must eventually decay like a Gaussian - i.e. faster than any power of ##x##.

Eventually the mathematical theory that supports QM gets murky and goes beyond what would be taught in a linear algebra/functional analysis class. All I was really trying to say, however, is that the initial lesson to learn is that not all functions in ##L^2## are possible wavefunctions and we must be dealing with a subspace of ##L^2##. Not least, because there are "pathological" functions in ##L^2## that would not submit to much of the theory of QM. This is true of physics more generally - it can assume that functions are "well-behaved" - and anything else can be excluded on the grounds of being "unphysical".
Yes, one of the early mistakes I made when studying quantum mechanics was to confuse the state space or Hilbert space of quantum mechanics with the whole of ##L^2##. The space of square integrable functions is larger by far than the relevant quantum mechanical space, further sometimes as physicists we are interested in eigenstates that aren't even in ##L^2## such as the ##|x\rangle## and ##|p\rangle## states. ##L^2## should be understood as necessary but not sufficient.
 
  • #34
PeroK said:
There is no physical justification to accommodate an operator like ##e^{x^2}##. So, you don't have to do that. You're wasting your time.
Can you not construct a ##\mathrm{e}^{x^2}## potential and measure it?
 
  • #35
gentzen said:
My guess is that the inner product ##\langle \psi | x |\psi \rangle## can be defined on the space of square integrable functions (i.e. ##L^2##), but I would have to look-up the details. (And if the integral should happen to be defined too, then one should be able to show that its value coincides with that definition.) The operator ##x## itself can be defined on the space of tempered distributions by transposition, whenever the operator ##x## is defined on the Schwartz space. (And it is precisely for that case that I believe that your inner product can be defined on ##L^2##.)
PeroK said:
The problem with functions like the one in the OP is that the inner product involving the operator ##\hat x ^2## is not defined (even if the integral is finite for the operator ##\hat x##). This is why the function must eventually decay like a Gaussian - i.e. faster than any power of ##x##.
This is a good argument why my guess that the inner product ##\langle \psi | x |\psi \rangle## can be defined on the space of square integrable functions (in the sense I had in mind) is wrong.
To confirm this, I also tried to look-up that stuff in the lecture notes of the course where I learned that stuff in 1999 (in Chapitre III. La transformation de Fourier). It is not mentioned there, and the inner product doesn't seem to have the same "you can see and understand when it works and when it fails" properties like the convolution.
 
  • #36
gaiussheh said:
Can you not construct a ##\mathrm{e}^{x^2}## potential and measure it?
That would be similar to an infinite well or deep finite well. Any laboratory system is finite in any case. A real potential that grew as fast as that would have to be truncated at some finite point.

Finally, this basic QM is manifestly non-relativistic. There's little point in accommodating potentials and wavefunctions that ultimately are incompatible with a relativistic theory in any case.
 
  • #37
gaiussheh said:
Can you not construct a ##\mathrm{e}^{x^2}## potential and measure it?
No, you cannot, because the "boundary behavior" is wrong. You can only control stuff local to some "finite" region. Outside that region, it should decay to zero sufficiently fast, otherwise it is simply not a good approximation to anything you can construct.

But the mathematical theory for that specific example is not complicated either. The multiplication by ##\mathrm{e}^{x^2}## is simply not defined as an operator on the Schwartz space.
PeroK said:
There is no physical justification to accommodate an operator like ##e^{x^2}##. So, you don't have to do that. You're wasting your time. That is a rabbit hole. You either find a pragmatic solution to allow linear algebra to model physical systems or you give up physics.
I find it hard to predict how whether such "simple" stuff which is well understood will turn into a rabbit hole for some specific student like @gaiussheh. It is certainly true that if he won't stop at some point, he risks to waste enormous amounts of time. On the other hand, digging a bit into that stuff could be helpful, also in case he should later need to read some "numerics" paper which freely makes use of known stuff that "works". (But I admit that this is typically only "much" later, so a student is well adviced to not stray too far from the physics course initially.)
 
  • Like
Likes   Reactions: jbergman, gaiussheh and PeroK
  • #38
gentzen said:
No, you cannot, because the "boundary behavior" is wrong. You can only control stuff local to some "finite" region. Outside that region, it should decay to zero sufficiently fast, otherwise it is simply not a good approximation to anything you can construct.

But the mathematical theory for that specific example is not complicated either. The multiplication by ##\mathrm{e}^{x^2}## is simply not defined as an operator on the Schwartz space.

I find it hard to predict how whether such "simple" stuff which is well understood will turn into a rabbit hole for some specific student like @gaiussheh. It is certainly true that if he won't stop at some point, he risks to waste enormous amounts of time. On the other hand, digging a bit into that stuff could be helpful, also in case he should later need to read some "numerics" paper which freely makes use of known stuff that "works". (But I admit that this is typically only "much" later, so a student is well adviced to not stray too far from the physics course initially.)
Thanks for these suggestions. It was not my first course in QM but my first TA of it. I got quite good scores back in my undergraduate and didn't find this course to be that much of abstract formulation. I was just amazed by how much math I have neglected!

P.S. I asked the lecturer of this course and his answer was like "this question is completely unphysical, you should not think of it", and I wasn't very convinced. QM use the term axioms, and my understanding is that it should be mathematically regorous itself.
 
Last edited:
  • #39
gentzen said:
This is a good argument why my guess that the inner product ##\langle \psi | x |\psi \rangle## can be defined on the space of square integrable functions (in the sense I had in mind) is wrong.
Does it make sense to "define" the "inner product" as ##\langle \psi | x \rangle \psi \rangle = \lim_{n\to\infty} \langle \psi | x | \psi_n \rangle##, where ##\psi_n## is in the Schwartz space as it is dense? This way, one can handle ##x | \psi \rangle ## even if it is not in the Hilbert space, and this is consistent with the integration ##\displaystyle \int \psi^* x \psi \mathrm{d}x##?
 
Last edited:
  • #40
gaiussheh said:
Does it make sense to "define" the "inner product" as ##\langle \psi | x \rangle \psi \rangle = \lim_{n\to\infty} \langle \psi | x | \psi_n \rangle##, where ##\psi_n## is in the Schwartz space as it is dense?
That limit will be ##+\infty##. Which essentially follows from the definition of dense.
 
  • #41
PeroK said:
That limit will be ##+\infty##. Which essentially follows from the definition of dense
Not sure if I have understood this correctly, however if I expend my wavefunction using the eigenstates of harmonic oscillator, the result is compatible with the integration result (=0). In this sense I have constructed an extension of the operator ##x## to my wavefunction ##\psi## such that the inner product can still be defined even if ##x | \psi \rangle## is not. (Note: ##\displaystyle \sum_{n} \alpha_n |n\rangle## is in the schwartz space for any finite ##n##.)
 

Attachments

  • 1741307499862.png
    1741307499862.png
    15.7 KB · Views: 88
  • #42
gaiussheh said:
Can you not construct a ##\mathrm{e}^{x^2}## potential and measure it?
You could have a Hamiltonian with an ##e^{-x^2}## term. Potentials such as ##e^{x^2}## are unphysical as they do not go to zero at infinity.
 
  • #43
gaiussheh said:
Not sure if I have understood this correctly, however if I expend my wavefunction using the eigenstates of harmonic oscillator, the result is compatible with the integration result (=0). In this sense I have constructed an extension of the operator ##x## to my wavefunction ##\psi## such that the inner product can still be defined even if ##x | \psi \rangle## is not. (Note: ##\displaystyle \sum_{n} \alpha_n |n\rangle## is in the schwartz space for any finite ##n##.)
I have very little idea what you are trying to do there. With all respect, I probably can't help you any further with this.
 
  • #44
PeroK said:
I have very little idea what you are trying to do there. With all respect, I probably can't help you any further with this.
Thank you indeed for helping, and apologize if I've been annoying.

It is obviously up to you whether you wish to further this.

My point is that it is not true to say ##\displaystyle \lim_{n\to\infty} \langle \psi_n| \hat{x}| \psi_n\rangle =+\infty##, at least for the case I constructed.

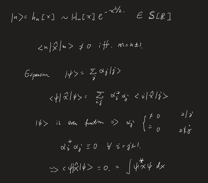
My construction is to expand ##\psi=\frac{1}{\sqrt{1+|x|^3}}## to series on the basis of harmonic oscillator energy eigenvectors ##|m \rangle \sim \mathrm{e}^{-x^2/2}H_m[x]##, where ##H_m## is the Hermitian Polynomials. This can always be done by ##| \psi \rangle = \sum_{m=0}^{\infty} \alpha_m | m \rangle##, where ##\alpha_m = \langle m | \psi \rangle##. As ##|m \rangle## is in the Schwartz space, for any finite n, ##\displaystyle \psi_n = \sum_{m=0}^{n} \alpha_m | m \rangle ## is in the also in the Schwartz space. Thus, the position operator can act on it. Because the Schwartz space is dense, the sequence ##\left\{ \displaystyle \psi_n \right\}## converge to ##|\psi \rangle## under ##L^2## norm.

Obviously one can not define ##\hat{x}|\psi \rangle## because ##\psi \not\in \mathrm{Dom}[\hat{x}]##, thus there is no definition of ##\langle \psi | \hat{x} | \psi \rangle## as an inner product in the ##L^2[\mathbb{R}]## space. My question is whether it is reasonable to define it as ##\displaystyle \lim_{n\to\infty} \langle \psi_n| \hat{x}| \psi_n\rangle##, such that the result is consistent with ##\displaystyle \int \psi^* x \psi \mathrm{d} x##. My construction seems to support this. Here is the reason.

Because for harmonic oscillator the matrix element for the position operator ##\langle i |\hat{x} | j \rangle## is only non-zero for ##i=j\pm 1## , when summing ##\displaystyle \lim_{n \to \infty} \langle \psi_n| \hat{x}| \psi_n\rangle = \sum_{i,j} \alpha_i^* \alpha_j \langle i |\hat{x} | j \rangle##, only these tern will contribute. However ##\frac{1}{\sqrt{1+|x|^3}}## is an even function. It is only non-zero for even ##n##. Therefore ##\forall i, \alpha_i \alpha_{i+1}=0##. Thus ##\displaystyle \lim_{n\to\infty} \langle \psi_n| \hat{x}| \psi_n\rangle =0 = \int \psi^* x \psi \mathrm{d} x##, not ##+\infty##.

I really hope that I have not annoyed you or anyone in the physics forum. And I apologies if I have been!
 
  • #45
gaiussheh said:
I really hope that I have not annoyed you or anyone in the physics forum. And I apologies if I have been!
Who says that the span of the eigenfunctions of the QHO are dense in ##L^2##? If they were, then we could show that for all ##\psi \in L^2##, we have ##\langle \psi|x|\psi \rangle = 0##.

Note also that earlier I said:

PeroK said:
You cannot get started with QM without having a single, fixed Hilbert Space (for each system in question) on which you can study operator commutation.
The QHO has a smaller set of possible wavefunctions than the free particle, say. In particular, the pathological function you started with is not in the the Hilbert Space for the QHO. Schwarz space is irrelevant here.

The underlying problem is that you lack the mathematical rigour to prove stuff like this. You are largely wasting your time, IMO. You post some dodgy mathematics and we have to figure out where you've gone wrong. I don't have the time or the inclination for this, sorry.
 
  • Like
Likes   Reactions: jbergman
  • #46
PeroK said:
This stretches the theory of linear spaces somewhat and eventually leads to the "rigged Hilbert Space" formulation.

For the full technical details see:

http://galaxy.cs.lamar.edu/~rafaelm/webdis.pdf

Beware - it is not for the faint-hearted in its mathematical sophistication. I took a few years from my study of QM to fully come to grips with it. And I am a mathematician self-taught in physics. Even the great von Neumann couldn't figure it out - it took the combined efforts of mathematicians like Gelfland, Schwartz and Grothendieck (when he was working with Schwartz).

Thanks
Bill
 
  • #47
martinbn said:
You are missing the point that an operator need not be defined on the hole space, but just on a dense subspace. Look up unbounded operators.
And a good example would be the Laplacian defined in a dense subspace of ##L^2##, as ##L^2## functions may not even be (once)-differentiable.
 
Last edited by a moderator:
  • Like
Likes   Reactions: bhobba
  • #48
PeroK said:
An operator on the set of square integrable functions must produce a square integrable function. If it does not, then it is not an operator on that Hilbert space.
The concept of operator relevant for QM is that of a 'densely defined operator', i.e., a linear operator A from a dense subspace of the Hilbert space into the Hilbert space; ; see https://en.wikipedia.org/wiki/Densely_defined_operator . The maximal such subspace is called the domain of A.

All (Hermitian) unbounded operators (and in particular position x and momentum p) are only densely defined; their domain is not the full Hilbert space. Therefore there are always some states in which the expectation is undefined.

Physicists usually don't bother about domains until they run into ill-defined calculations. This is the reason why mathematical physics (which imposes the mathematical standards of rigor) is significantly more complex than Dirac-style physics.
 
Last edited:
  • Like
Likes   Reactions: martinbn and jbergman
  • #49
A. Neumaier said:
[...]
All unbounded operators (and in particular position x and momentum p) are only densely defined; their domain is not the full Hilbert space. [...]

I've always had an issue with that, because you see, the theorem of Hellinger & Toeplitz precisely says that a symmetric operator everywhere defined on a Hilbert space must be bounded/continuos. Which from the elementary logic perspective means: [itex]A \wedge B \Rightarrow C[/itex]. Negate it [itex]\neg C \Rightarrow \neg A \vee \neg B[/itex]. So an unbounded linear operator can be be either non-symmetric, or not defined on whole Hilbert space. But we have an "or" relationship. I can choose it to be non-symmetric and couldn't care about the domain. So, can one have an unbounded operator fully defined on all vectors in a separable Hilbert space? Clearly not, if we want it symmetric (or even s-a), but what about the general case, in which we don't want symmetric operators.
 
  • Like
Likes   Reactions: jbergman
  • #50
If you drop symmetry, you get pathological, discontinuous, unbounded maps—but they’re of almost no use in analysis or physics.
 
  • Like
Likes   Reactions: jbergman
  • #51
Well, IIRC, the " default" unbounded operators are the differential ones. And symmetry has a Spectral theorem to go along with it. Though we can define an unbounded operator in any infinite-dimensional space.
 
Last edited:
  • #52
Differential operators are unbounded because they’re only defined on a proper dense subset of the Hilbert space, not on every vector.
If you insist on “full” domain, the only unbounded ones you get are pathological, non‑continuous algebraic beasts with no symmetry or spectral story.
 
  • #53
SergejMaterov said:
Differential operators are unbounded because they’re only defined on a proper dense subset of the Hilbert space, not on every vector.
If you insist on “full” domain, the only unbounded ones you get are pathological, non‑continuous algebraic beasts with no symmetry or spectral story.
Including multiplication operators? Sorry, I am a bit rusty.
 
  • #54
Exactly so—multiplication operators fit the same pattern as the differential ones:
Multiplication by an unbounded function is fundamentally not everywhere defined, so it doesn’t contradict Hellinger–Toeplitz. Any physically meaningful unbounded operator—differential or multiplicative—lives on a proper dense domain.
 
  • Like
Likes   Reactions: WWGD
  • #55
SergejMaterov said:
[...]
If you insist on “full” domain, the only unbounded ones you get are pathological, non‑continuous algebraic beasts with no symmetry or spectral story.

Yes, this is what I'm after: a non-continuous operator whose domain is the whole of [itex]\mathcal{L}^2 (\mathbb{R})[/itex].
 
Last edited:
  • #56
dextercioby said:
Yes, this is what I'm after: a non-continuous operator whose domain is the whole of ##\mathcal{L}^2 (\mathbb R)##.
Zorn's lemma is your friend:
Pietro Majer said:
Actually, you immediately have unbounded linear operators on a normed spaces as soon as you have a Hamel basis, and as you know, in general the existence of a Hamel basis on a linear space is ensured by the Zorn lemma. Then, if ##(x_i)## is any Hamel basis and ##(y_i)## is any family of vectors indicized on the same set, there is a unique linear map sending ##x_i## to ##y_i##, and it is certainly unbounded if e.g. the ##y_i## are chosen in such a way that ##|y_i|/|x_i|## is unbounded.
 
  • Like
Likes   Reactions: WWGD and dextercioby
  • #57
The example I remember is that of ##l^2##, the sequence space. Choose an orthonormal Hamel basis ##\{e_i\}## , define ##T(e_i):=ie_i## and extend by linearity.
 
  • #58
dextercioby said:
I've always had an issue with that, because you see, the theorem of Hellinger & Toeplitz precisely says that a symmetric operator everywhere defined on a Hilbert space must be bounded/continuos.
Yes, I was thinking of Hermitian operators; I corrected my statement.
 
  • #59
How do we define symmetric operators in infinite-dimensional (inner-product)spaces, is it <Tx,y>=<x, Ty>?
 
  • #60
WWGD said:
How do we define symmetric operators in infinite-dimensional (inner-product)spaces, is it <Tx,y>=<x, Ty>?
Yes, for whatever x and y from their maximal domain.
 

Similar threads

  • · Replies 16 ·
Replies
16
Views
2K
  • · Replies 61 ·
3
Replies
61
Views
6K
  • · Replies 8 ·
Replies
8
Views
2K
  • · Replies 15 ·
Replies
15
Views
1K
  • · Replies 2 ·
Replies
2
Views
2K
  • · Replies 11 ·
Replies
11
Views
3K
  • · Replies 15 ·
Replies
15
Views
2K
  • · Replies 14 ·
Replies
14
Views
2K
  • · Replies 5 ·
Replies
5
Views
3K