What is the connection between Euler's formula and the Zeta function?

  • Context: Graduate 
  • Thread starter Thread starter camilus
  • Start date Start date
  • Tags Tags
    Formula
Click For Summary

Discussion Overview

The discussion centers on the relationship between Euler's formula and the Zeta function, particularly focusing on the transition from product representations of series involving prime numbers to their corresponding summation forms. Participants explore the mathematical steps involved in these transformations, including the implications of signs in the formulas.

Discussion Character

  • Technical explanation
  • Mathematical reasoning
  • Debate/contested

Main Points Raised

  • One participant seeks clarification on the equality involving the product over primes and the sum involving the order of primes, questioning the presence of a negative sign in the Euler product formula.
  • Another participant discusses the complexity introduced by the negative sign in the product representation and its relation to the Zeta function.
  • Some participants mention the geometric series expansion as a method to understand the product representations, while also questioning the correctness of certain expressions.
  • A participant highlights the tedious nature of computing terms in the series and references a Wikipedia link for further reading on multiplicative order.
  • There is mention of how each positive integer can be expressed uniquely as a product of primes, which is foundational to the discussion.

Areas of Agreement / Disagreement

Participants express differing views on the handling of signs in the mathematical expressions, and there is no consensus on the correctness of certain steps or the implications of the negative sign. The discussion remains unresolved regarding the exact nature of the transformations between the product and sum representations.

Contextual Notes

Some participants note potential confusion regarding the application of geometric series and the handling of signs in the formulas, indicating that assumptions about the series may not be fully clarified.

camilus
Messages
146
Reaction score
0
Hi everyone. I'm trying to understand the step where they wrote

1/2 ∏1/(1+p^-3) =1/2 Ʃ(-1)^ord(k)/k^3

How can I see this? I know the Euler product formula, but it has a negative sign before the p^-3, where here we have a + sign.

Thanks for the help.
 

Attachments

  • image.jpg
    image.jpg
    42.2 KB · Views: 512
Physics news on Phys.org
The step going from the second to last line, to the last line.
 
I need help understanding this equality:

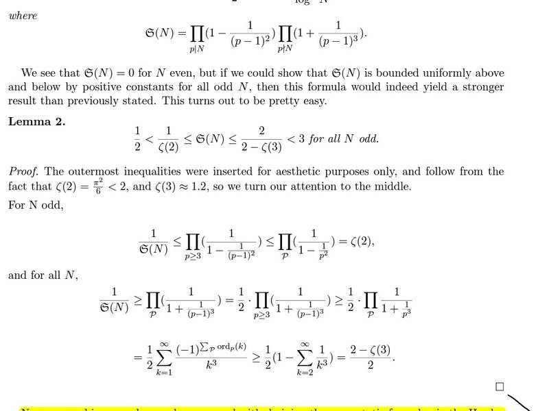
[itex]\prod_{p-prime} \frac{1}{1+\frac{1}{p^3}}= \sum_{k=1}^\infty \frac{(-1)^{\sum_p ord_p(k)}}{k^3}[/itex]


Any help is greatly appreciated!
 
We know
$$\prod_\mathbb{P} (1-p^{-s})^{-1}=\prod_\mathbb{P} \left( \sum_{\mathbb{Z} \ge 0} p^{-s n} \right) ^{-1} = \sum_{\mathbb{Z}>0} n^{-s}$$

with the minus sign it is a little more complicated

$$\prod_\mathbb{P} (1+p^{-s})^{-1}=\prod_\mathbb{P} \left( \sum_{\mathbb{Z} \ge 0} (-p)^{-s n} \right) ^{-1} = \sum_{\mathbb{Z}>0} (-1)^{\sum ord_p(k)}n^{-s}$$

Where the ord_p(k) makes sure we get the right sign (it counts the minuses), clearly

$$\left( \prod_\mathbb{P} (1-p^{-s})^{-1} \right) \left( \prod_\mathbb{P} (1+p^{-s})^{-1} \right) =\zeta(2n)$$

but instead of using that your link makes a simple estimate
 
lurflurf said:
We know
$$\prod_\mathbb{P} (1-p^{-s})^{-1}=\prod_\mathbb{P} \left( \sum_{\mathbb{Z} \ge 0} p^{-s n} \right) ^{-1} = \sum_{\mathbb{Z}>0} n^{-s}$$

with the minus sign it is a little more complicated

$$\prod_\mathbb{P} (1+p^{-s})^{-1}=\prod_\mathbb{P} \left( \sum_{\mathbb{Z} \ge 0} (-p)^{-s n} \right) ^{-1} = \sum_{\mathbb{Z}>0} (-1)^{\sum ord_p(k)}n^{-s}$$

Where the ord_p(k) makes sure we get the right sign (it counts the minuses), clearly

$$\left( \prod_\mathbb{P} (1-p^{-s})^{-1} \right) \left( \prod_\mathbb{P} (1+p^{-s})^{-1} \right) =\zeta(2n)$$

but instead of using that your link makes a simple estimate
Should [itex]\prod_\mathbb{P} \left( \sum_{\mathbb{Z} \ge 0} p^{-s n} \right) ^{-1}[/itex] have that ^(-1) after it? Or am I missing something..? Are you rewriting 1/(1-p^-s) using geometric series?

Anyways, thanks that was very helpful, I'm looking into the proofs of the product formula via this route.
 
Yes that is a geometric series expansion.
 
What about the negative one?
 
$$\prod_\mathbb{P} (1+p^{-s})^{-1}=
\prod_\mathbb{P} (1-(-p^{-s}))^{-1}= \\
\prod_\mathbb{P} \left( 1-p^{-s}+p^{-2s}-p^{-3s}+...+(-1)^k p^{-ks}+... \right) ^{-1} = \sum_{\mathbb{Z}>0} a_n n^{-s}=\frac{\zeta(2n)}{\zeta(n)}$$
a_n being in{-1,1}
In the sum each term is positive or negative and we can determine which using
ord_p(k)
it is a bit tedious to compute, which is why the link estimates
here is the wikipedia
[PLAIN]http://en.wikipedia.org/wiki... one way (fundamental theorem of arithmetic).
 
Last edited by a moderator:

Similar threads

  • · Replies 5 ·
Replies
5
Views
4K
  • · Replies 17 ·
Replies
17
Views
2K
  • · Replies 2 ·
Replies
2
Views
2K
  • · Replies 5 ·
Replies
5
Views
3K
Replies
4
Views
6K
  • · Replies 25 ·
Replies
25
Views
4K
  • · Replies 3 ·
Replies
3
Views
2K
  • · Replies 2 ·
Replies
2
Views
2K
  • · Replies 0 ·
Replies
0
Views
2K
  • · Replies 6 ·
Replies
6
Views
1K