What Is the Correct Approach to Solve This Bra-Ket Equation?

  • Thread starter Thread starter grandpa2390
  • Start date Start date
  • Tags Tags
    Bra ket
Click For Summary
SUMMARY

The discussion centers on solving a Bra-Ket equation, a fundamental concept in quantum mechanics. Participants express uncertainty regarding the solution process and seek clarification on specific aspects of the equation. The conversation emphasizes the need for precise understanding of quantum notation and the mathematical operations involved. Ultimately, the discussion highlights the importance of clear communication in tackling complex physics problems.

PREREQUISITES
  • Understanding of quantum mechanics principles
  • Familiarity with Bra-Ket notation
  • Basic knowledge of linear algebra
  • Proficiency in mathematical operations relevant to quantum equations
NEXT STEPS
  • Study the principles of quantum mechanics in detail
  • Learn about Bra-Ket notation and its applications
  • Explore linear algebra techniques used in quantum physics
  • Review mathematical operations specific to quantum equations
USEFUL FOR

Students of quantum mechanics, physics educators, and anyone seeking to deepen their understanding of Bra-Ket notation and its applications in solving quantum equations.

grandpa2390
Messages
473
Reaction score
14

Homework Statement


?temp_hash=a3398cd8ad873689273c7913318fbec6.png


Homework Equations



I'm not sure

The Attempt at a Solution



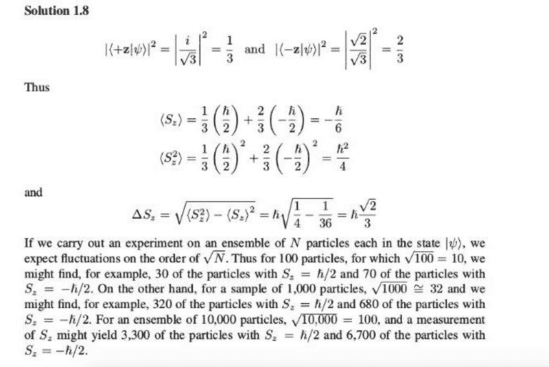
Here is the solution that I don't understand.
?temp_hash=a3398cd8ad873689273c7913318fbec6.png
 

Attachments

  • Screen Shot 2017-09-25 at 11.36.47 AM.png
    Screen Shot 2017-09-25 at 11.36.47 AM.png
    18.1 KB · Views: 730
  • Screen Shot 2017-09-25 at 11.38.47 AM.png
    Screen Shot 2017-09-25 at 11.38.47 AM.png
    52.7 KB · Views: 705
Physics news on Phys.org
You will have to be more specific. Exactly what is it that you do not understand?
 

Similar threads

  • · Replies 14 ·
Replies
14
Views
2K
  • · Replies 14 ·
Replies
14
Views
3K
Replies
2
Views
2K
  • · Replies 3 ·
Replies
3
Views
2K
  • · Replies 9 ·
Replies
9
Views
3K
  • · Replies 0 ·
Replies
0
Views
2K
  • · Replies 1 ·
Replies
1
Views
3K
  • · Replies 2 ·
Replies
2
Views
2K
  • · Replies 1 ·
Replies
1
Views
1K
  • · Replies 8 ·
Replies
8
Views
3K