What is the expression for Compton scattering angle in terms of t?

Click For Summary

Homework Help Overview

The discussion centers around a problem involving Compton scattering, specifically determining the expression for the scattering angle in terms of a variable \( t \). The scenario involves a photon with an energy of 0.880 MeV scattering off a free electron at rest, with the angles of the scattered photon and electron being equal.

Discussion Character

  • Exploratory, Assumption checking, Mathematical reasoning

Approaches and Questions Raised

  • Participants discuss the need to derive equations related to energy and momentum conservation, with some suggesting that the original poster (OP) should manipulate these equations rather than rely on provided formulas. There is also mention of the complexity of the algebra involved in solving the problem.

Discussion Status

The discussion is ongoing, with participants offering guidance on how to approach the problem through conservation laws. There is recognition that the OP may need to derive certain equations and that the problem is not straightforward. Some participants express concern about the OP's reliance on external resources without attempting to engage with the material themselves.

Contextual Notes

There is a suggestion that the OP may not need to use Planck's constant and that the problem requires a deeper understanding of the underlying physics rather than straightforward calculations. The OP's previous attempts at using LaTeX for formatting are noted, indicating a willingness to improve communication in the forum.

jjson775
Messages
112
Reaction score
26
Homework Statement
A 0.880 MeV photon is scattered by a free electron initially at rest such that the scattering angle of the scattered electron equals that of the scattered photon. (a) Determine the angles theta and phi. (b) Determine the energy and momentum of the scattered photon. (c) Determine the kinetic energy and momentum of the scattered electron.
Relevant Equations
See below
1615689602647.png
1615689602647.png
2C330813-F056-4C01-A522-33721781C646.jpeg
 
Physics news on Phys.org
I don't follow what you are doing there. I wouldn't consider converting the energy of the photon from ##eV## to joules as a good start. How does that help?

The question says that the scattering angles are the same and asks you to find the angle. I can't see any attempt at finding this angle.

This problem looks quite advanced and certainly isn't an exercise in number crunching. I think you'll need a fair bit algebra for part (a).

Also, previously you said:

jjson775 said:
Thanks, I will give LaTeX a shot.

I think you should.
 
  • Like
Likes   Reactions: Steve4Physics
jjson775 said:
Homework Statement:: A 0.880 MeV photon is scattered by a free electron initially at rest such that the scattering angle of the scattered electron equals that of the scattered photon. (a) Determine the angles theta and phi. (b) Determine the energy and momentum of the scattered photon. (c) Determine the kinetic energy and momentum of the scattered electron.
Relevant Equations:: See below

For symmetrical scattering like this, you may use the equation: $$\cos\phi=\cos\theta=\frac{E_i+E_0}{E_i+2E_0}$$.

Source https://www.physicsforums.com/insights/massive-meets-massless-compton-scattering-revisited/
 
neilparker62 said:
For symmetrical scattering like this, you may use the equation: $$\cos\phi=\cos\theta=\frac{E_i+E_0}{E_i+2E_0}$$.
It's homework and the above equation would not generally be supplied as a 'standard, ready-to-use' equation (but the OP should check this).

I'd guess the OP could either derive the above equation before using it, or solve the problem from first principles using conservation laws (messy algebra likely). I suspect the latter is what is expected.
 
  • Like
Likes   Reactions: kuruman, neilparker62 and PeroK
PeroK said:
I don't follow what you are doing there. I wouldn't consider converting the energy of the photon from ##eV## to joules as a good start. How does that help?

The question says that the scattering angles are the same and asks you to find the angle. I can't see any attempt at finding this angle.

This problem looks quite advanced and certainly isn't an exercise in number crunching. I think you'll need a fair bit algebra for part (a).

Also, previously you said:
I think you should.
I did look at LaTeX but decided as a hobbyist, self studying, that I will stick with Nuten. I hope this isn’t too much of an inconvenience for the moderators whose feedback I appreciate very much.
 
jjson775 said:
I did look at LaTeX but decided as a hobbyist, self studying, that I will stick with Nuten. I hope this isn’t too much of an inconvenience for the moderators whose feedback I appreciate very much.
The real issue for this problem is how you go about finding the common scattering angle. To do that, you need to manipulate the energy and momentum conservation laws and equations.

You need to write down the key equations and then solve for the required unknown quantities. Equations with symbols for energy and momentum are preferred.

Hint: you don't need Planck's constant for this. And, although you could use the Compton formula, I'm not sure it makes things any simpler. I suggest treating this like a standard scattering problem.
 
Steve4Physics said:
It's homework and the above equation would not generally be supplied as a 'standard, ready-to-use' equation (but the OP should check this).

I'd guess the OP could either derive the above equation before using it, or solve the problem from first principles using conservation laws (messy algebra likely). I suspect the latter is what is expected.
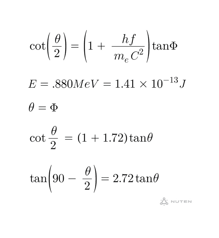
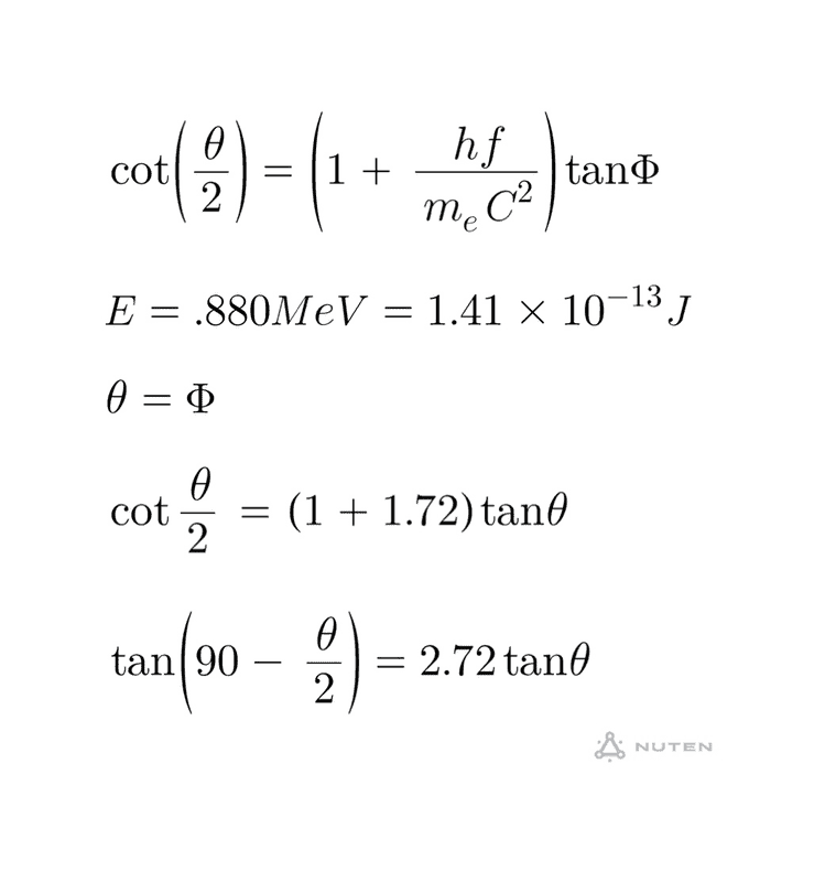
I think the intent is to solve the problem with conservation laws which I won’t be able to do. I tried to solve the formula below that I found in a related thread but got stuck.
1615858119345.png
 
jjson775 said:
I think the intent is to solve the problem with conservation laws which I won’t be able to do. I tried to solve the formula below that I found in a related thread but got stuck.
View attachment 279820
In general, you seem to be able to put numbers into a single equation. That means you need someone else to solve the problem for you and provide you with that single equation.

To solve the problem yourself you must combine and manipulate several equations to get the new equation you need. Looking at your homework posts in general, that doesn't seem to be something you do.

There's not a lot we can do to help until you learn to manipulate equations for yourself.
 
Steve4Physics said:
It's homework and the above equation would not generally be supplied as a 'standard, ready-to-use' equation (but the OP should check this).

I'd guess the OP could either derive the above equation before using it, or solve the problem from first principles using conservation laws (messy algebra likely). I suspect the latter is what is expected.
Yes - perhaps I did too much of the work for the OP here and he would indeed have to show where the equation came from before using it. Digging around you don't seem to find much on the calculation of ##\phi## but a more general purpose equation which can easily be derived from the standard Compton scattering vector diagram is the following: $$ \tan\phi=\frac{E_2\sin\theta_d}{E_1-E_2\cos\theta_d} $$ where ##E_1## and ##E_2## are the energies of the incident and scattered photons respectively and ##\theta_d## is the angle of deflection.

Another point which has been emphasised in previous threads in that really the energy form of the Compton scattering equation should be recommended - ie: $$1-cos\theta_d=E_0\left(\frac{1}{E_2}-\frac{1}{E_1}\right)$$
 
  • #10
1616434185736.png


Let ##t=\tan\left(\frac{\theta}{2}\right)## and write everything in terms of t.
 

Similar threads

  • · Replies 9 ·
Replies
9
Views
1K
Replies
13
Views
2K
  • · Replies 10 ·
Replies
10
Views
2K
  • · Replies 2 ·
Replies
2
Views
2K
  • · Replies 3 ·
Replies
3
Views
3K
Replies
2
Views
1K
  • · Replies 1 ·
Replies
1
Views
2K
  • · Replies 18 ·
Replies
18
Views
5K
  • · Replies 20 ·
Replies
20
Views
2K
Replies
14
Views
3K