What is the maximum electric field magnitude between the cylinders?

Click For Summary

Homework Help Overview

The discussion revolves around calculating the maximum electric field magnitude between two cylindrical shells, focusing on the application of relevant formulas and concepts from electrostatics.

Discussion Character

  • Exploratory, Conceptual clarification, Mathematical reasoning, Assumption checking

Approaches and Questions Raised

  • Participants explore various formulas for electric fields, including attempts to derive them using Gauss's law. Questions arise regarding the validity of the formulas used and the conditions under which they apply.

Discussion Status

Participants are actively engaging with the problem, with some confirming the correctness of certain steps while others are seeking clarification on the derivation of formulas. There is a focus on understanding the relationship between the electric field and the distance from the cylinders.

Contextual Notes

There is an emphasis on the need to prove the formulas used for the electric field and potential, with specific attention to the range of distances (20mm to 80mm) and how this affects the electric field magnitude.

hidemi
Messages
206
Reaction score
36
Homework Statement
Two long conducting cylindrical shells are coaxial and have radii of 20 mm and 80 mm. The electric potential of the inner conductor, with respect to the outer conductor, is +700V. What is the maximum electric field magnitude between the cylinders?

The given answer is 25,000 V/m.
Relevant Equations
E= (-kQ/r)⋅ dr
I used a couple ways to do this question, but I got neither correct. Can someone help, please? Thank you.

1. E= V/r = 700 / (60*10^-3) = 11667 (very far from the given answer)

2. E = (-kQ/r)⋅ dr
= kQ/r^2
= kQ/ [( 1/20/ 10^-3)^2 - (1/80/10^-3)^2]
(For this method, I stuck because I don't know kQ)
 
Physics news on Phys.org
Neither of the formula you use is correct for the electric field of such a system configuration. The correct formula is $$E=\frac{\lambda}{2\pi\epsilon_0}\frac{1}{r}$$ and $$V=\int Edr=\frac{\lambda}{2\pi\epsilon_0}\ln r$$ where ##\lambda## is the linear charge density (Coulomb/meter) of the inner cylindrical shell.
Now, first show me that you able to prove the above formulas (you have to use the integral form of Gauss's law to prove the first, the second is just the integral of the first) and then we can continue.
 
Delta2 said:
Neither of the formula you use is correct for the electric field of such a system configuration. The correct formula is $$E=\frac{\lambda}{2\pi\epsilon_0}\frac{1}{r}$$ and $$V=\int Edr=\frac{\lambda}{2\pi\epsilon_0}\ln r$$ where ##\lambda## is the linear charge density (Coulomb/meter) of the inner cylindrical shell.
Now, first show me that you able to prove the above formulas (you have to use the integral form of Gauss's law to prove the first, the second is just the integral of the first) and then we can continue.
1.jpeg

700 = λ/(2πε) *1.4
E = λ/(2πεr) = 700/(1.4*r) = 500/(2*10^-3)
I use 20*10^-3 meters to plug in 'r' and get the correct answer, but I"m not sure why.
 
hidemi said:
View attachment 282504
700 = λ/(2πε) *1.4
E = λ/(2πεr) = 700/(1.4*r) = 500/(2*10^-3)
I use 20*10^-3 meters to plug in 'r' and get the correct answer, but I"m not sure why.
The problem statement asks for the maximum electric field. For which value of r you think is the maximum as long as the electric field is given by the formula at post #2? But still you haven't proved the formula for the electric field.
 
Delta2 said:
The problem statement asks for the maximum electric field. For which value of r you think is the maximum as long as the electric field is given by the formula at post #2? But still you haven't proved the formula for the electric field.
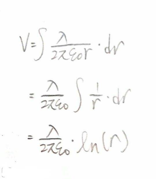
I think I has proved the formula for the electric field as my attachment in post #3(as below):

V=∫ (λ/2πε0r)⋅dr
= (λ/2πε0r)∫ (1/r)⋅dr
= (λ/2πε0r) ln r

Could you give me some more hints if it is not you want me to do which I attached in post #3 (as above)?
 
That's the proof of the formula for the potential. The formula for the electric field ##E=\frac{\lambda}{2\pi\epsilon_0}\frac{1}{r}## you haven't prove it yet. To prove it you need to use Gauss's law and take as surface a cylinder with radius r in between the radius of 20mm and 80mm.
 
Delta2 said:
That's the proof of the formula for the potential. The formula for the electric field ##E=\frac{\lambda}{2\pi\epsilon_0}\frac{1}{r}## you haven't prove it yet. To prove it you need to use Gauss's law and take as surface a cylinder with radius r in between the radius of 20mm and 80mm.
11.jpg
 
Your first line is correct, but then i can't understand what you are doing in 2nd and 3rd lines. In 2nd line you have what it seems to me a line integral which simply is incompatible with the surface integral at line 1.
How can you proceed from line 1 to calculate that integral. Remember that our surface is a cylinder with radius r 20mm<r<80mm. Answer this question: How is the electric field magnitude and direction over this surface?
 
Delta2 said:
Your first line is correct, but then i can't understand what you are doing in 2nd and 3rd lines. In 2nd line you have what it seems to me a line integral which simply is incompatible with the surface integral at line 1.
How can you proceed from line 1 to calculate that integral. Remember that our surface is a cylinder with radius r 20mm<r<80mm. Answer this question: How is the electric field magnitude and direction over this surface?
1.jpeg

Is it correct?
 
  • #10
Yes that is correct well done!
 
  • #11
Delta2 said:
Yes that is correct well done
Thanks for confirming.
However, I am still unsure how to answer "What is the maximum electric field magnitude between the cylinders?"

As I calculated previously,
700 = λ/(2πε) *1.4
E = λ/(2πεr) = 700/(1.4*r) = 500/(2*10^-3)
I use 20*10^-3 meters to plug in 'r' and get the correct answer, but I"m not sure why.
 
  • #12
Well , r varies between 20 and 80mm. What can you say about the electric field as a function of r? when we increase r what happens to electric field? it increases or decreases? So the maximum value of E field is for low or high value of r?
 
Last edited:
  • #13
Delta2 said:
Well , r varies between 20 and 80mm. What can you say about the electric field as a function of r? when we increase r what happens to electric field? it increases or decreases? So the maximum value of E field is for low or high value of r?
Thanks for the hint. I got it!
 

Similar threads

  • · Replies 4 ·
Replies
4
Views
1K
  • · Replies 5 ·
Replies
5
Views
2K
  • · Replies 5 ·
Replies
5
Views
2K
  • · Replies 2 ·
Replies
2
Views
2K
  • · Replies 2 ·
Replies
2
Views
1K
  • · Replies 32 ·
2
Replies
32
Views
4K
Replies
2
Views
2K
  • · Replies 22 ·
Replies
22
Views
4K
  • · Replies 12 ·
Replies
12
Views
3K
  • · Replies 16 ·
Replies
16
Views
2K