What is the normal force in A and B?

Click For Summary
SUMMARY

The discussion focuses on calculating the normal forces at points A and B of a welded square frame consisting of four equal rods, each with mass m and length 2l. The frame is released from rest, and the correct normal force at point B is determined to be 6/5*mg, while the user incorrectly calculated it as 3/10*mg. The discrepancy highlights the importance of accurately applying the principles of static equilibrium and dynamics in mechanical systems.

PREREQUISITES
  • Understanding of static equilibrium and dynamics in mechanical systems
  • Familiarity with forces acting on rigid bodies
  • Knowledge of reaction forces and their calculations
  • Basic principles of mechanics, including Newton's laws
NEXT STEPS
  • Study the principles of static equilibrium in mechanical systems
  • Learn about calculating reaction forces in rigid body mechanics
  • Explore dynamics of systems involving multiple forces and constraints
  • Review examples of normal force calculations in similar mechanical setups
USEFUL FOR

Mechanical engineers, physics students, and anyone involved in analyzing forces in rigid body mechanics will benefit from this discussion.

Karl Karlsson
Messages
104
Reaction score
12
TL;DR
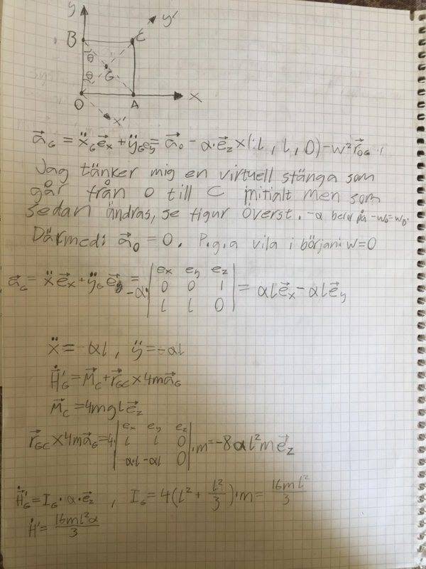
A welded square frame consisting of four equal rods each with mass m and length 2l can move in the vertical plane by means of two small wheels in A and B that move without friction along a horizontal and vertical track, respectively. The disc is released from rest in a position where the sides of the frame are horizontal and vertical respectively. Determine the normal forces in A and B at the beginning moment.
Skärmavbild 2019-09-27 kl. 12.20.59.png

A welded square frame consisting of four equal rods each with mass m and length 2l can move in the vertical plane by means of two small wheels in A and B that move without friction along a horizontal and vertical track, respectively. The disc is released from rest in a position where the sides of the frame are horizontal and vertical respectively. Determine the normal forces in A and B at the beginning moment.
 
Last edited:
Engineering news on Phys.org
I have written on swedish but i think it will be quite easy to understand. As you can see if you watch my solution i get the wrong answer even though i feel like i am doing everything correct. The reaction force in B should be 6/5*mg, where as my answer is 3/10*mg. My attempt:
9a2171cd-4af8-4046-9238-aad500abfbf5_img-0389.jpg
 
Last edited:
1569681856122.png

For some reason i can't have more than one picture per post
 

Similar threads

  • · Replies 20 ·
Replies
20
Views
5K
Replies
4
Views
2K
  • · Replies 9 ·
Replies
9
Views
4K
  • · Replies 3 ·
Replies
3
Views
2K
  • · Replies 5 ·
Replies
5
Views
3K
  • · Replies 6 ·
Replies
6
Views
4K
Replies
7
Views
2K
  • · Replies 8 ·
Replies
8
Views
3K
  • · Replies 18 ·
Replies
18
Views
4K
  • · Replies 9 ·
Replies
9
Views
2K