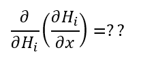
What will be value of this differential? Kindly help and explain

Click For Summary
SUMMARY

The discussion centers on understanding the differential of a specific expression involving the partial derivative \(\frac{\partial H_i^j}{\partial x}=0\). Participants seek clarification on the physical meaning of this equation and its implications in a broader context. The inquiry emphasizes the need for a deeper investigation into the first 4x4 quantity related to this differential, indicating its significance in the relevant field of study.

PREREQUISITES
  • Understanding of partial derivatives in calculus
  • Familiarity with tensor notation and operations
  • Knowledge of differential equations
  • Basic concepts in physics related to quantities represented by tensors
NEXT STEPS
  • Research the physical interpretations of tensor quantities in mechanics
  • Study the application of partial derivatives in fluid dynamics
  • Explore the significance of 4x4 matrices in relativity and field theories
  • Learn about the implications of \(\frac{\partial H_i^j}{\partial x}=0\) in various physical contexts
USEFUL FOR

Students and professionals in physics, mathematicians specializing in differential equations, and researchers exploring tensor analysis and its applications in theoretical frameworks.

ssafdarpk
Messages
1
Reaction score
0
Can someone help me understand the answer to this differential?

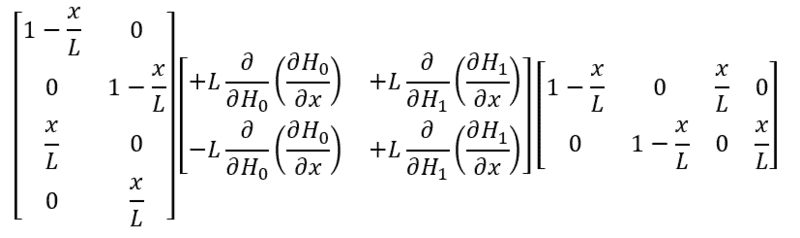
I have the following expression
1651869542261.png
where
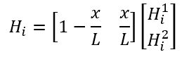
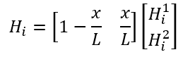
1651869584718.png

Now what I can understand the differential of
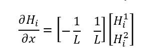
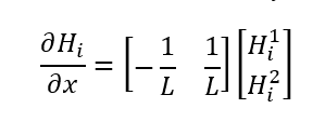
1651869641031.png

what will be the following?
1651869676443.png
 
Physics news on Phys.org
ssafdarpk said:
where
1651869584718-png.png

Now what I can understand the differential of
1651869641031-png.png
From these equations it seems [tex]\frac{\partial H_i^j}{\partial x}=0[/tex] holds. Could you tell me physical meaning or background of the first 4x4 quantity for further investigation ?
 
Last edited:

Similar threads

  • · Replies 2 ·
Replies
2
Views
2K
  • · Replies 49 ·
2
Replies
49
Views
8K
  • · Replies 15 ·
Replies
15
Views
2K
  • · Replies 5 ·
Replies
5
Views
3K
  • · Replies 2 ·
Replies
2
Views
2K
  • · Replies 9 ·
Replies
9
Views
2K
  • · Replies 12 ·
Replies
12
Views
3K
  • · Replies 0 ·
Replies
0
Views
2K
  • · Replies 11 ·
Replies
11
Views
3K
  • · Replies 16 ·
Replies
16
Views
3K