Where Did My Neglect of High-Order Terms Go Wrong in Integral Sums?

  • Context: High School 
  • Thread starter Thread starter Mike_bb
  • Start date Start date
  • Tags Tags
    Integral Sum Terms
Click For Summary

Discussion Overview

The discussion revolves around the neglect of high-order terms in integral sums, particularly in the context of infinitesimal calculus and Riemann sums. Participants explore the implications of treating differentials and infinitesimals in calculus, questioning the validity of certain mathematical steps and interpretations.

Discussion Character

  • Exploratory
  • Debate/contested
  • Mathematical reasoning

Main Points Raised

  • One participant states that high-order terms can be neglected in expressions like ##f(x+dx)-f(x)##, specifically for the function ##y=x^2##, leading to ##dy=2xdx##.
  • Another participant challenges the notion of ##dx## as an infinitesimal in integrals, asserting that it is merely a notation in integration and not a differential.
  • A different participant expresses a lack of familiarity with infinitesimal calculus, indicating a gap in understanding the topic.
  • One participant critiques the original poster's interpretation of the differential, emphasizing that the term ##dx^2## does not arise from the definition of the differential of the function.
  • There is a mention of using Riemann sums to evaluate definite integrals, with a suggestion that the original source material may be outdated and not reflective of modern practices.
  • Participants discuss the division of intervals in Riemann sums and the notation used, contrasting it with the use of ##dx## in older texts.

Areas of Agreement / Disagreement

Participants express differing views on the treatment of differentials and infinitesimals, with no consensus reached regarding the validity of neglecting high-order terms in integral sums or the interpretation of ##dx##.

Contextual Notes

There are unresolved assumptions regarding the definitions of differentials and infinitesimals, as well as the applicability of older calculus texts to modern understanding. The discussion reflects varying levels of familiarity with the concepts involved.

Mike_bb
Messages
213
Reaction score
20
Hello.

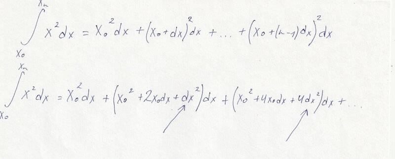
As is known, we can neglect high-order term in expression ##f(x+dx)-f(x)##. For ##y=x^2##: ##dy=2xdx+dx^2##, ##dy=2xdx##.

I read that infinitesimals have property: ##dx+dx^2=dx##

I tried to neglect high-order terms in integral sum (##dx^2## and ##4dx^2## and so on) and I obtained wrong result in the end.

IMG_20220727_0001.jpg


Where is my mistake?

Thanks.
 
Physics news on Phys.org
Mike_bb said:
Hello.

As is known, we can neglect high-order term in expression ##f(x+dx)-f(x)##. For ##y=x^2##: ##dy=2xdx+dx^2##, ##dy=2xdx##.

I read that infinitesimals have property: ##dx+dx^2=dx##

I tried to neglect high-order terms in integral sum (##dx^2## and ##4dx^2## and so on) and I obtained wrong result in the end.

View attachment 304873

Where is my mistake?

Thanks.
I don't really understand what you've done. The ##dx## in an integral isn't an infinitesimal.

In fact, to be precise, there is no such thing as an "infinitesimal" in standard calculus. Although, there is the concept of the "differential" ##dx##.

The ##dx## in the integral is not a differential either, but a notation specific to integration.
 
PeroK said:
I don't really understand what you've done. The ##dx## in an integral isn't an infinitesimal.

In fact, to be precise, there is no such thing as an "infinitesimal" in standard calculus. Although, there is the concept of the "differential" ##dx##.

The ##dx## in the integral is not a differential either, but a notation specific to integration.
I read "A treatise on infinitesimal calculus" Bartholomew Price. Integral sum, for ##2xdx##:

1.jpg
 
  • Informative
Likes   Reactions: PeroK
Okay. Infinitesimal calculus is not something I know anything about, I'm sorry to say!
 
  • Like
Likes   Reactions: Mike_bb
@Mike_bb, what you're doing is evaluating the definite integral using a Riemann sum.
In post 1 you said this:
Mike_bb said:
For ##y = x^2, dy = 2xdx + dx^2, dy = 2xdx##
This doesn't make any sense to me. If the function is defined by the formula ##y = f(x) = x^2##, then by definition, the differential of f (df) or differential of y (dy) is given by ##dy = \frac{df}{dx} dx = 2xdx##. I don't see where you're getting the ##dx^2## term from.

In evaluating the def. integral ##\int_{x_0}^{x_n} x^2 dx##, the author of the book you're working from is using a Riemann sum to evaluate the integral. BTW, from the language used, my guess is that this is a very old textbook (maybe over 100 years old!). I would advise getting something a bit more modern and that uses illustrations.

The author's use of dx in the Riemann sum is not at all the way things are usually done these days. See https://en.wikipedia.org/wiki/Riemann_sum for a more modern explanation.

In the Riemann sum, the interval ##[x_0, x_n}## is divided into subintervals of equal length. This is usually written as ##\Delta x = \frac{x_n - x_0} n## and not as dx.

In each subinterval, an estimate is calculated of the area under the curve, within that subinterval, and then all n subintervals are added to get the total. This is easier to follow from a drawing, several of which are shown with examples in the wiki article I linked to.
 
  • Informative
Likes   Reactions: PeroK

Similar threads

  • · Replies 24 ·
Replies
24
Views
4K
  • · Replies 11 ·
Replies
11
Views
3K
  • · Replies 4 ·
Replies
4
Views
3K
  • · Replies 27 ·
Replies
27
Views
4K
  • · Replies 3 ·
Replies
3
Views
4K
  • · Replies 1 ·
Replies
1
Views
3K
  • · Replies 2 ·
Replies
2
Views
3K
  • · Replies 1 ·
Replies
1
Views
3K
  • · Replies 3 ·
Replies
3
Views
3K
  • · Replies 4 ·
Replies
4
Views
3K