Why do exponential functions occur outside of finite walls?

  • Context: Undergrad 
  • Thread starter Thread starter jjson775
  • Start date Start date
  • Tags Tags
    Finite Quantum
Click For Summary

Discussion Overview

The discussion centers around the occurrence of exponential functions in the solutions to the time-independent Schrödinger equation, particularly in the context of quantum mechanics and potential wells. Participants explore the mathematical reasoning behind the nature of these solutions both inside and outside the well, addressing the implications of energy levels relative to potential energy.

Discussion Character

  • Technical explanation
  • Debate/contested
  • Mathematical reasoning

Main Points Raised

  • Some participants note that inside a finite well, the solutions are combinations of sines and cosines, while outside the well, where the potential energy exceeds the mechanical energy, the solutions are exponential functions.
  • Others argue that the statement “U0 - E is positive, so the solutions are exponential functions” may not logically follow without further mathematical justification.
  • A participant expresses confusion regarding the logical connection between the positivity of U0 - E and the nature of the solutions, suggesting that removing the word "so" would clarify the statement.
  • Some participants assert that the exponential solutions can be verified by solving the relevant differential equations, even if one does not know how to derive them directly.
  • There is a suggestion that familiarity with differential equations allows some individuals to recognize the nature of the solutions without needing to solve them explicitly.
  • One participant reflects on their past experience with differential equations, indicating a long gap since their last professional use of the topic.

Areas of Agreement / Disagreement

Participants express differing views on the logical connection between the conditions of energy and the resulting solutions. While some agree on the mathematical basis for the solutions, others question the clarity and implications of the statements made regarding these relationships.

Contextual Notes

There are unresolved aspects regarding the assumptions made about the relationship between energy levels and the nature of the solutions, as well as the clarity of the language used in the discussion.

jjson775
Messages
112
Reaction score
26
TL;DR
Why are exponential functions the solution to the time independent Schrödinger equation outside the walls of a finite well?
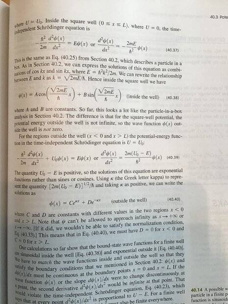
Between the walls of a finite well, the solution to the time independent Schrödinger equation is a combination of sines and cosines. Outside the walls where E - Uo is positive, the solutions are exponential functions. Why?
 

Attachments

  • IMG_0232.jpeg
    IMG_0232.jpeg
    62.9 KB · Views: 117
Physics news on Phys.org
Those are the solutions to the differential equation in each case. You can directly check they are solutions, even if you don't know how to solve the equations themselves.
 
  • Like
Likes   Reactions: Vanadium 50
I understand that and have checked the solutions. The wording of the text is “Uo - E is positive, so the solutions are exponential functions“. Is this supposed to follow logically? If you drop the word “so”, I am OK.
 
If the particle is inside the well (which I think is U0 - E < 0 im your notation), the solutions are sines and cosines. If it is outside (which I think is U0 - E > 0 im your notation) the solutions are siinh and cosh, i.e. exponential.

As mentioned, you can verify these solutions even if you cannot solve for them,
 
  • Like
Likes   Reactions: vanhees71
Vanadium 50 said:
If the particle is inside the well (which I think is U0 - E < 0 im your notation), the solutions are sines and cosines. If it is outside (which I think is U0 - E > 0 im your notation) the solutions are siinh and cosh, i.e. exponential.

As mentioned, you can verify these solutions even if you cannot solve for them,
That’s what I said In my post. My reply to PeroK shows my point of confusion. Also, my post has a typo, should have been Uo - E, potential energy > mechanical energy.
 
jjson775 said:
The wording of the text is “Uo - E is positive, so the solutions are exponential functions“. Is this supposed to follow logically?
Yes, by solving the relevant differential equations. If you are unable to solve them yourself, you will not be able to make the logical connection in question yourself. But you can still verify the connection by verifying that exponentials are solutions.
 
  • Like
Likes   Reactions: vanhees71
Alright. You can’t tell by inspection that the solutions are exponential just because Uo > E is positive, but through solution of the differential equations. I have verified the solutions.
 
jjson775 said:
You can’t tell by inspection that the solutions are exponential just because Uo > E is positive
Well, people who are familiar enough with the relevant differential equations can, because they already have more than enough experience in solving them. Any veteran of a college level differential equations course will understand what I mean. :wink:
 
  • Like
Likes   Reactions: mattt, vanhees71 and Vanadium 50
I don't know what to tell you. It seems like you are saying that you can't do the math and can;t follow the words, but also don't want to trust what the people who do say. You've kind of painted yourself into a corner there.
 
  • Like
Likes   Reactions: vanhees71
  • #10
PeterDonis said:
Well, people who are familiar enough with the relevant differential equations can, because they already have more than enough experience in solving them. Any veteran of a college level differential equations course will understand what I mean. :wink:
Your answer is what I was looking for. Thanks. I did take differential equations 60+ years ago but never used it professionally.
 
  • Like
Likes   Reactions: vanhees71 and berkeman

Similar threads

  • · Replies 12 ·
Replies
12
Views
4K
  • · Replies 4 ·
Replies
4
Views
2K
  • · Replies 5 ·
Replies
5
Views
3K
  • · Replies 10 ·
Replies
10
Views
3K
  • · Replies 24 ·
Replies
24
Views
3K
  • · Replies 6 ·
Replies
6
Views
3K
  • · Replies 2 ·
Replies
2
Views
3K
  • · Replies 9 ·
Replies
9
Views
3K
  • · Replies 1 ·
Replies
1
Views
2K
  • · Replies 12 ·
Replies
12
Views
13K