Why Does This Higher Order Derivative Equation Hold?

Click For Summary
SUMMARY

The discussion centers on the application of Faà di Bruno's formula, which generalizes the chain rule for higher order derivatives. Participants highlight the formula's utility in deriving higher derivatives of composite functions, specifically when y = f(u) and u = g(x). The conversation references the Wikipedia page on the chain rule and a Drexel University presentation that illustrates the formula's application in trigonometric derivatives. Key points include the correct formulation of the first few derivatives and the clarification that certain equalities may not hold universally.

PREREQUISITES
  • Understanding of basic calculus concepts, specifically derivatives
  • Familiarity with the chain rule in differentiation
  • Knowledge of Faà di Bruno's formula for higher derivatives
  • Ability to interpret mathematical notation and expressions
NEXT STEPS
  • Study Faà di Bruno's formula in detail to understand its derivation and applications
  • Explore advanced topics in calculus, such as Taylor series and their relation to derivatives
  • Learn about the implications of higher order derivatives in physics and engineering contexts
  • Review examples of applying the chain rule to complex functions in calculus textbooks
USEFUL FOR

Students of calculus, mathematicians, and educators seeking to deepen their understanding of higher order derivatives and their applications in various mathematical contexts.

LauwranceGilbert
mod: moved from homework

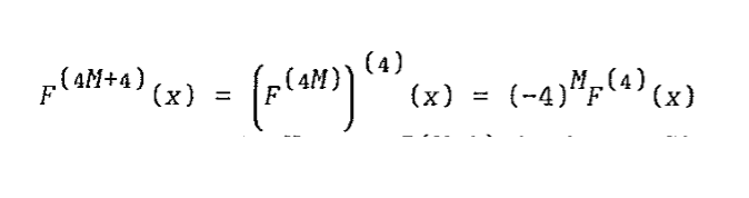
Does anyone know why and when this equation holds? I have searched online but cannot find the reason or the rules for the higher order derivatives.

MATH.png
 

Attachments

  • MATH.png
    MATH.png
    3.1 KB · Views: 1,101
Last edited by a moderator:
Physics news on Phys.org
Can you provide some context of where you found this equation and what you were investigating?

It looks like ordinary power rules applied to derivatives ie derivative chain rule.

https://en.wikipedia.org/wiki/Chain_rule

There's a section further into the article talking about generalizations of the rule:

Higher derivatives[edit]
Faà di Bruno's formula generalizes the chain rule to higher derivatives. Assuming that y = f(u) and u = g(x), then the first few derivatives are:

\begin{aligned}{\frac {dy}{dx}}&={\frac {dy}{du}}{\frac {du}{dx}}\\[4pt]{\frac {d^{2}y}{dx^{2}}}&={\frac {d^{2}y}{du^{2}}}\left({\frac {du}{dx}}\right)^{2}+{\frac {dy}{du}}{\frac {d^{2}u}{dx^{2}}}\\[4pt]{\frac {d^{3}y}{dx^{3}}}&={\frac {d^{3}y}{du^{3}}}\left({\frac {du}{dx}}\right)^{3}+3\,{\frac {d^{2}y}{du^{2}}}{\frac {du}{dx}}{\frac {d^{2}u}{dx^{2}}}+{\frac {dy}{du}}{\frac {d^{3}u}{dx^{3}}}\\[4pt]{\frac {d^{4}y}{dx^{4}}}&={\frac {d^{4}y}{du^{4}}}\left({\frac {du}{dx}}\right)^{4}+6\,{\frac {d^{3}y}{du^{3}}}\left({\frac {du}{dx}}\right)^{2}{\frac {d^{2}u}{dx^{2}}}+{\frac {d^{2}y}{du^{2}}}\left(4\,{\frac {du}{dx}}{\frac {d^{3}u}{dx^{3}}}+3\,\left({\frac {d^{2}u}{dx^{2}}}\right)^{2}\right)+{\frac {dy}{du}}{\frac {d^{4}u}{dx^{4}}}.\end{aligned}
0058898334cbda9c51867b17ddeb752cca90ecc6

Here's a presentation where they use something like this for trig derivatives:

https://www.cs.drexel.edu/classes/Calculus/MATH121_Fall02/lecture14.pdf
 
Last edited:
LauwranceGilbert said:
mod: moved from homework

Does anyone know why and when this equation holds? I have searched online but cannot find the reason or the rules for the higher order derivatives.

View attachment 213801
The first equality is easy: the ##(4M+4)##th derivative of ##F## is just the 4th derivative of the ##(4M)##th derivative. The second equality is false, in general, because there are many counterexamples. The ##(4M+4)##th derivative is usually not a constant (##= (-4)^M## ) times the 4th derivative.
 

Similar threads

  • · Replies 1 ·
Replies
1
Views
2K
  • · Replies 2 ·
Replies
2
Views
3K
  • · Replies 6 ·
Replies
6
Views
3K
  • · Replies 7 ·
Replies
7
Views
2K
  • · Replies 12 ·
Replies
12
Views
8K
  • · Replies 2 ·
Replies
2
Views
2K
  • · Replies 24 ·
Replies
24
Views
4K
  • · Replies 17 ·
Replies
17
Views
4K
  • · Replies 6 ·
Replies
6
Views
2K
  • · Replies 2 ·
Replies
2
Views
4K