Work done against resistive forces by comparing Ek and work done

Click For Summary
SUMMARY

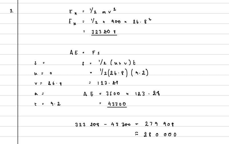
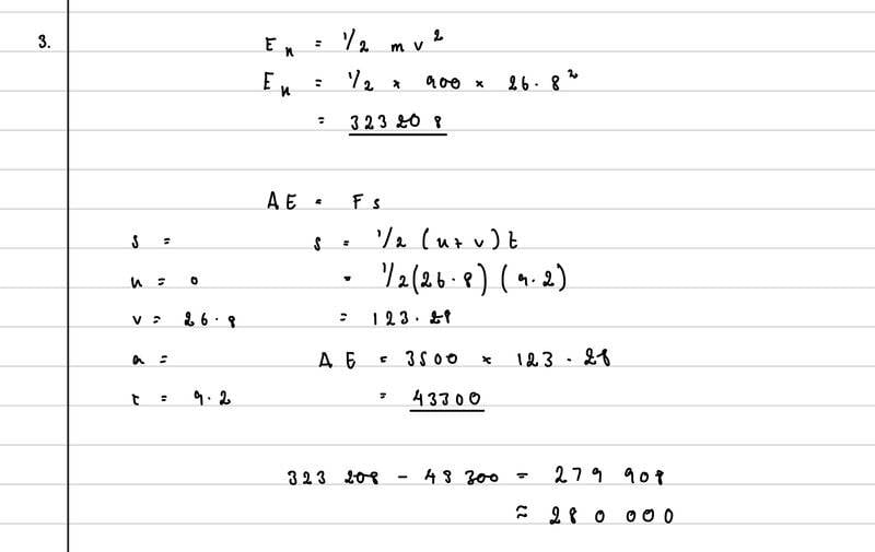
The discussion centers on calculating the work done against resistive forces for a car with a mass of 900 kg that accelerates from 0 to 26.8 m/s in 9.2 seconds, with a constant engine thrust of 3500 N. The total work done by the engine is calculated as 431,480 J, while the kinetic energy gained by the car is determined to be 110,000 J. The difference between these two values represents the work done against resistive forces, confirming the calculations presented in the discussion.

PREREQUISITES
  • Understanding of Newton's Second Law of Motion
  • Familiarity with the concepts of kinetic energy and work
  • Knowledge of the SUVAT equations for motion
  • Basic proficiency in unit conversions and calculations in physics
NEXT STEPS
  • Study the derivation and application of the SUVAT equations in various scenarios
  • Explore the principles of work-energy theorem in physics
  • Learn about resistive forces and their impact on motion
  • Investigate the relationship between force, mass, and acceleration in practical applications
USEFUL FOR

Students studying physics, educators teaching mechanics, and anyone interested in understanding the dynamics of motion and forces acting on objects.

g9WfI
Messages
13
Reaction score
4
Homework Statement
A car of mass 900kg accelerates from 0 to 26.8 m/s in 9.2 s. The thrust from the engine is constant at 3500 N during this period. By comparing the kinetic energy gained by the car with the total work done by the engine, calculate the work done against resistive forces.
Relevant Equations
suvat, kinetic energy, work done
IMG_86F1E608F5D0-1.jpeg

Missed units in the photo - J

Answer is 110 000 J
 
Physics news on Phys.org
g9WfI said:
Homework Statement:: A car of mass 900kg accelerates from 0 to 26.8 m/s in 9.2 s. The thrust from the engine is constant at 3500 N during this period. By comparing the kinetic energy gained by the car with the total work done by the engine, calculate the work done against resistive forces.
Relevant Equations:: suvat, kinetic energy, work done

View attachment 284260
Missed units in the photo - J

Answer is 110 000 J
3500 * 123.48 = 431480, not 43300
 
Steve4Physics said:
3500 * 123.48 = 431480, not 43300
Thank you so much!
 
  • Like
Likes   Reactions: Steve4Physics

Similar threads

  • · Replies 8 ·
Replies
8
Views
1K
  • · Replies 10 ·
Replies
10
Views
2K
  • · Replies 2 ·
Replies
2
Views
4K
  • · Replies 58 ·
2
Replies
58
Views
6K
  • · Replies 2 ·
Replies
2
Views
969
  • · Replies 2 ·
Replies
2
Views
1K
  • · Replies 19 ·
Replies
19
Views
2K
  • · Replies 11 ·
Replies
11
Views
2K
  • · Replies 4 ·
Replies
4
Views
2K
Replies
29
Views
3K