Writing Feynman slash notation in LaTeX

Click For Summary

Discussion Overview

The discussion revolves around the implementation of Feynman's slash notation in LaTeX, particularly in the context of quantum field theory (QFT) and Dirac spinors. Participants are exploring how to correctly write this notation in their documents.

Discussion Character

  • Technical explanation
  • Homework-related

Main Points Raised

  • One participant mentions encountering an error when attempting to use the notation ##\text{##\slashed{p}##}## in LaTeX.
  • Another participant provides an example of using the notation with ##\not\! a##, suggesting it may be a valid alternative.
  • A third participant repeats the notation ##\not\! a##, indicating agreement or confirmation of its use.
  • A later reply references finding information on a different forum, implying that there may be additional resources available for this notation.

Areas of Agreement / Disagreement

There is no clear consensus on the correct implementation of Feynman's slash notation in LaTeX, as participants have shared different approaches and experiences, with some suggesting the need for further guidance in the LaTeX guide.

Contextual Notes

Participants have not resolved the specific error encountered with ##\text{##\slashed{p}##}##, and there may be assumptions about prior knowledge of LaTeX that are not explicitly stated.

Wrichik Basu
Science Advisor
Insights Author
Gold Member
Messages
2,188
Reaction score
2,694
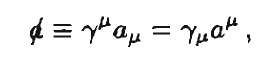
I started reading QFT recently. With respect to the Dirac spinors, I was introduced to Feynman's slash notation:
245264

OR
245265
There are sites which say how this can be inserted in LaTeX documents. I checked out the LaTeX guide of PF, but found that it is not listed there. Writing ##\text{##\slashed{p}##} ## gives an error.

How is this notation implemented here?
 
Physics news on Phys.org
Code:
##\not\! a##
##\not\! a##
 
  • Like
Likes   Reactions: DrClaude, Greg Bernhardt and Wrichik Basu
BvU said:
Code:
##\not\! a##
##\not\! a##
Thanks. I believe this should be added to the LaTeX guide.
 
No credit to me, used my friend google to end up in a ##\TeX## forum... (answer by Werner)
 
  • Like
Likes   Reactions: Wrichik Basu

Similar threads

  • · Replies 2 ·
Replies
2
Views
60K
  • · Replies 2 ·
Replies
2
Views
2K
  • · Replies 16 ·
Replies
16
Views
4K
  • · Replies 5 ·
Replies
5
Views
3K
  • · Replies 3 ·
Replies
3
Views
3K
  • · Replies 15 ·
Replies
15
Views
3K
  • · Replies 8 ·
Replies
8
Views
13K
  • · Replies 5 ·
Replies
5
Views
4K
  • · Replies 9 ·
Replies
9
Views
15K
  • · Replies 5 ·
Replies
5
Views
8K