X ray crystallography - interpreting my graph

Click For Summary
SUMMARY

This discussion focuses on the interpretation of X-ray crystallography data for NaCl using a Molybdenum anode lamp. The user queries the utility of a continuous spectrum, specifically Bremsstrahlung radiation, in their experiment and its detection in relation to the crystal structure. Key equations such as nλ = 2dhklsinθ are referenced for calculating lattice parameters. The conversation highlights the importance of understanding the emission lines and scattering processes involved in X-ray diffraction.

PREREQUISITES
  • Basic understanding of X-ray crystallography principles
  • Familiarity with Bragg's Law and its application
  • Knowledge of Molybdenum anode X-ray tubes
  • Experience with interpreting diffraction patterns
NEXT STEPS
  • Research the characteristics of Bremsstrahlung radiation in X-ray tubes
  • Study the emission spectrum of Molybdenum anodes
  • Learn about the use of Zr absorber foils in X-ray experiments
  • Explore methods for calculating dhkl from diffraction data
USEFUL FOR

Students and researchers in materials science, particularly those involved in crystallography experiments, as well as professionals seeking to deepen their understanding of X-ray diffraction techniques and data interpretation.

Old_sm0key
Messages
17
Reaction score
0

Homework Statement


I am currently part way through a laboratory experiment that utilises basic crystallography to ultimately calculate lattice constants and structure factors for NaCl (we receive formal training in the next academic year via full treatment of von Laue, Bragg diffraction etc).
I have consulted a couple of recommended textbooks, but nothing addresses my concerns.
Our X ray spectrometer his an unfiltered Molybdenum anode lamp. The goniometer is geared to maintain the Bragg geometry (Geiger tube turns at twice angular speed of table).

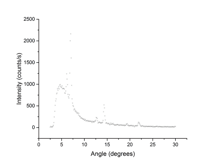
The plot for scanning across angles for a NaCl crystal is shown below.

Now here is my major query:
Bremsstrahlung with Mo {k_alpha and k_beta} emission lines are incident on the NaCl.
  • What use it is having a continuous spectrum incident on the crystal? I thought standard practise is to attenuate with say a Zr absorber foil via the absorption principle?
  • Why is bremsstrahlung *detected* - I thought it is just produced by the Mo anode in etc X ray tube?
  • Not knowing precisely what each pair of peaks (of diminishing intensity) shows, I do not know how to calculate d_hkl from this plot
Kf8UF0N.png

Homework Equations


[itex]n\lambda =2d_{hkl}\sin \theta[/itex]

The Attempt at a Solution

 
Old_sm0key said:
What use it is having a continuous spectrum incident on the crystal? I thought standard practise is to attenuate with say a Zr absorber foil via the absorption principle?
Depends on your application I think.
Old_sm0key said:
Why is bremsstrahlung *detected* - I thought it is just produced by the Mo anode in etc X ray tube?
It is produced in the x-ray tube and scattered in the NaCl crystal. Where is the problem?
Old_sm0key said:
Not knowing precisely what each pair of peaks (of diminishing intensity) shows, I do not know how to calculate d_hkl from this plot
You can look up the spectrum for Molybdenum anodes. There are two very prominent peaks.
 

Similar threads

  • · Replies 1 ·
Replies
1
Views
2K
Replies
3
Views
4K