A bar suspended by two vertical strings

  • Thread starter Thread starter jonny997
  • Start date Start date
  • Tags Tags
    Strings Vertical
Click For Summary

Homework Help Overview

The discussion revolves around a physics problem involving a horizontal bar suspended by two vertical strings, focusing on the stability of the bar based on the positioning of masses. The original poster seeks to determine the critical distance (x_critical) at which the bar remains stable, particularly when one mass is positioned close to one end of the bar.

Discussion Character

  • Exploratory, Assumption checking, Problem interpretation

Approaches and Questions Raised

  • Participants explore the conditions under which the bar remains stable, questioning the placement of masses relative to the strings and the implications for torque. There is discussion about the signs of torque contributions and how they affect the stability of the system.

Discussion Status

Participants are actively engaging with the problem, checking each other's reasoning and clarifying concepts related to torque and equilibrium. Some guidance has been offered regarding the correct formulation of equations and the interpretation of signs, but no consensus has been reached on the specific conditions for stability.

Contextual Notes

There are constraints regarding the positioning of the masses, specifically that one mass must be to the left of a certain point for the tension in one of the strings to equal zero. Participants also note the relationship between the mass distribution and the critical distance, indicating that further exploration of these relationships is necessary.

jonny997
Messages
25
Reaction score
5
Homework Statement
A rigid, uniform, horizontal bar of mass m_1 and length L is supported by two identical massless strings. Both strings are vertical. String A is attached at a distance d<L/2 from the left end of the bar and is connected to the ceiling; string B is attached to the left end of the bar and is connected to the floor. A small block of mass m_2 is supported against gravity by the bar at a distance x from the left end of the bar, as shown in the figure.

Throughout this problem, positive torque is that which spins an object counterclockwise. Use g for the magnitude of the acceleration due to gravity.
Relevant Equations
Net torque = 0
Diagram
1649720628933.png


Problem
If the mass of the block is too large and the block is too close to the left end of the bar (near string B) then the horizontal bar may become unstable (i.e., the bar may no longer remain horizontal).
What is the smallest possible value of x such that the bar remains stable (call it x_critical)?

1649722352082.png

1649722326193.png

1649723481852.png


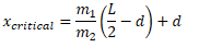
The correct answer turned out to be
1649722438759.png

Which is what you get when the torque is negative...

I'm just not 100% how to figure out whether the torque caused by mass 2 should be positive or negative? I assumed it would be to the left of string A and cause positive torque. Can someone help me figure this out?
 

Attachments

  • 1649722376852.png
    1649722376852.png
    2.4 KB · Views: 273
Last edited:
Physics news on Phys.org
Welcome to PF @jonny997.

If the system is'critical', which of the following is true:
A) m₂ must be on the right side of string A.
B) m₂ must be on the left side of string A.
C) m₂ could be on either side of string A.
D) There is insufficient information to choose from A, B and C.

Once you've answered, check your original equation.
 
  • Like
Likes   Reactions: jonny997
Hey.

Could it be on either side depending on m1 and m2?
 
jonny997 said:
Check the signs on the torque contributions in your first equation.
 
  • Like
Likes   Reactions: Steve4Physics
haruspex said:
Check the signs on the torque contributions in your first equation.
Hey.

I think I've got it... Am I supposed to check how the critical distance varies with m1 in order to determine the correct signs for the torque caused by mass m2?
 
jonny997 said:
Hey.

I think I've got it... Am I supposed to check how the critical distance varies with m1 in order to determine the correct signs for the torque caused by mass m2?
No, you just have to write the equation correctly.
 
  • Like
Likes   Reactions: jonny997
Sorry if i wasn't clear in my first post. That's kinda what I've been struggling with, trying to figure out the correct signs. I just assumed that the m2 would be to the left of String A but I suppose it could be to the right as well... The question also states that d < L/2 so
1649729939449.png

would suggest that x gets bigger as the bar gets heavier, which doesn't make sense...
It didnt really occur to me to check that earlier though, I am not sure if there's something I'm missing/not understanding...
 

Attachments

  • 1649729927431.png
    1649729927431.png
    1.4 KB · Views: 232
haruspex said:
No, you just have to write the equation correctly.
Lol yea sorry, I'm just not sure how to figure out what the correct sign is for m2
 
jonny997 said:
Lol yea sorry, I'm just not sure how to figure out what the correct sign is for m2
x-d is an offset measured which way from string A? I'm not asking which way It will turn out to be since that will depend on the relative magnitudes of d and x; I am asking which way you would be measuring it to use x-d rather than d-x.
Does a downward force exerted that side of A exert a positive or negative torque?
 
  • Like
Likes   Reactions: jonny997
  • #10
haruspex said:
x-d is an offset measured which way from string A? I'm not asking which way It will turn out to be since that will depend on the relative magnitudes of d and x; I am asking which way you would be measuring it to use x-d rather than d-x.
Does a downward force exerted that side of A exert a positive or negative torque?
Oh wait, no I've made a really dumb mistake... The block musr definitely be to the left of string A for the tension in string B to equal 0. I've just got the signs for distance wrong... 😭 the way it is right now (x-d) is inverted which is why the direction of the torque is as well... Is that right? 😅
 
  • Like
Likes   Reactions: Steve4Physics
  • #11
jonny997 said:
Oh wait, no I've made a really dumb mistake... The block musr definitely be to the left of string A for the tension in string B to equal 0. I've just got the signs for distance wrong... 😭 the way it is right now (x-d) is inverted which is why the direction of the torque is as well... Is that right? 😅
Yes. Well done. To make your sign convention work correctly ##d-x_{critical}## must be a positive quantity.
 
  • Like
Likes   Reactions: jonny997
  • #12
jonny997 said:
Oh wait, no I've made a really dumb mistake... The block musr definitely be to the left of string A for the tension in string B to equal 0. I've just got the signs for distance wrong... 😭 the way it is right now (x-d) is inverted which is why the direction of the torque is as well... Is that right? 😅
Yes, except that the mistake is not a matter of failing to realize it must be to the left of A.
Whichever side it is of A, x-d is the displacement of m2 to the right of A. That is true whether it is positive or negative. So (x-d)m2g is the torque measured clockwise. Hence its contribution to the total torque is -(x-d)m2g.
 
  • Like
Likes   Reactions: jonny997 and Steve4Physics
  • #13
haruspex said:
Yes, except that the mistake is not a matter of failing to realize it must be to the left of A.
Whichever side it is of A, x-d is the displacement of m2 to the right of A. That is true whether it is positive or negative. So (x-d)m2g is the torque measured clockwise. Hence its contribution to the total torque is -(x-d)m2g.

Thanks. It's definitely more intuitive for me to think of the distance as d-x. In this case x-d would be a negative value for m2 to the right of string A, am I right in saying that..? I think that's why I was getting so confused by the signs towards the end...
 
  • #14
jonny997 said:
In this case x-d would be a negative value for m2 to the right of string A, am I right in saying that..?
Yes, and that would drop out of the answer without having to guess it in advance.
That principle applies to most mechanics problems: e.g. you don't have to guess which way a force acts; just suppose it acts one way and write the equations accordingly. If it acts the other way you will get a negative answer.
There may be exceptions, though.
 
  • #15
jonny997 said:
Thanks. It's definitely more intuitive for me to think of the distance as d-x. In this case x-d would be a negative value for m2 to the right of string A, am I right in saying that..? I think that's why I was getting so confused by the signs towards the end...
I think @haruspex ’s approach is more useful/general. It doesn’t require you to know - in advance - where the critical position is. In more complicated problems the critical position may not be clear.

If you follow your sign convention, your original equation (based on the diagram)
##T_{B}d - (\frac 1 2 L – d) m_1g + m_2g(x_{critical} – d) = 0##
should be
##T_{B}d - (\frac 1 2 L – d) m_1g - m_2g(x_{critical} – d) = 0##

You made a simple sign-error (hence @haruspex's comment in Post #6).
 
  • #16
haruspex said:
Yes, and that would drop out of the answer without having to guess it in advance.
That principle applies to most mechanics problems: e.g. you don't have to guess which way a force acts; just suppose it acts one way and write the equations accordingly. If it acts the other way you will get a negative answer.
There may be exceptions, though.
Ahhh okay, I'll keep that in mind. Thank you!
 
  • #17
Steve4Physics said:
I think @haruspex ’s approach is more useful/general. It doesn’t require you to know - in advance - where the critical position is. In more complicated problems the critical position may not be clear.

If you follow your sign convention, your original equation (based on the diagram)
##T_{B}d - (\frac 1 2 L – d) m_1g + m_2g(x_{critical} – d) = 0##
should be
##T_{B}d - (\frac 1 2 L – d) m_1g - m_2g(x_{critical} – d) = 0##

You made a simple sign-error (hence @haruspex's comment in Post #6).
Thanks for help haha. I appreciate it
 

Similar threads

Replies
2
Views
2K
  • · Replies 14 ·
Replies
14
Views
3K
Replies
7
Views
3K
  • · Replies 2 ·
Replies
2
Views
4K
  • · Replies 1 ·
Replies
1
Views
7K
  • · Replies 4 ·
Replies
4
Views
2K
  • · Replies 5 ·
Replies
5
Views
2K
  • · Replies 19 ·
Replies
19
Views
5K
Replies
1
Views
3K
  • · Replies 2 ·
Replies
2
Views
3K