Α baseball player throws the ball....

Click For Summary

Homework Help Overview

The discussion revolves around a problem related to mechanics, specifically involving a baseball player throwing a ball. Participants are attempting to verify their understanding of the problem as presented in a physics textbook.

Discussion Character

  • Exploratory, Conceptual clarification

Approaches and Questions Raised

  • The original poster expresses uncertainty about their interpretation of the problem and seeks validation from others. Some participants affirm the original poster's understanding, while others also indicate agreement without further elaboration.

Discussion Status

The discussion appears to be in an early stage, with participants confirming each other's interpretations. However, there is no detailed exploration of the problem or any specific guidance provided beyond general agreement.

Contextual Notes

The original poster mentions that the Greek version of the textbook does not provide an answer, which may influence the discussion's context and the need for clarification.

Michael_0039
Messages
59
Reaction score
7
Homework Statement
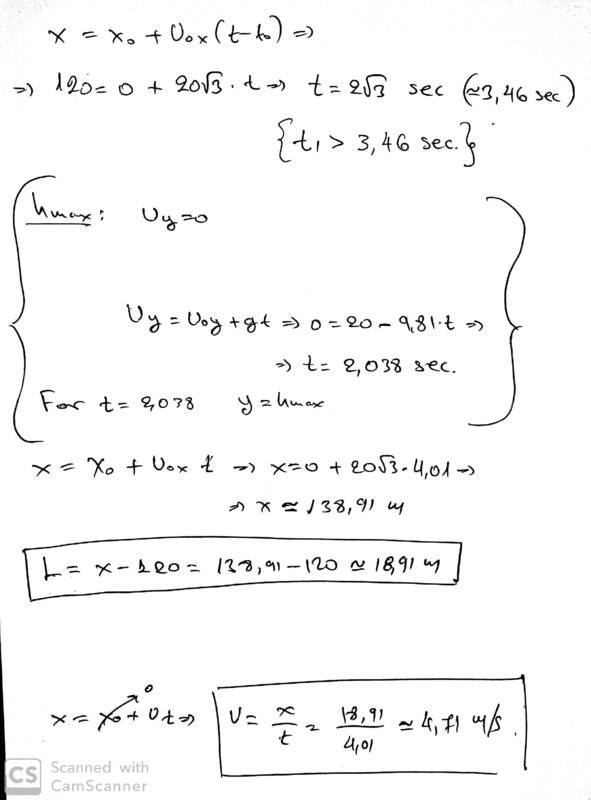
Α baseball player throws the ball and another player 120 meters far, starts running...
Relevant Equations
nil
Hi all !

I wonder if I'm right.

(From : Fundamental University Physics, Volume 1 (Mechanics) - (Marcelo Alonso, Edward J.finn) Addison Wesley 1967)

Καταγραφή.PNG

22.PNG


This is my try:
New Doc 2019-09-30 23.02.28_1.jpg

New Doc 2019-09-30 23.02.28_3.jpg
* I have the Greek version of the book and there is no answer.Thanks.
 
  • Like
Likes   Reactions: PeroK
Physics news on Phys.org
Edit:

Καταγραφή.PNG
 
Looks good to me.
 
  • Like
Likes   Reactions: Michael_0039
Me too!
 
  • Like
Likes   Reactions: Michael_0039

Similar threads

Replies
6
Views
6K
  • · Replies 7 ·
Replies
7
Views
7K
  • · Replies 3 ·
Replies
3
Views
2K
Replies
3
Views
13K
  • · Replies 4 ·
Replies
4
Views
4K
Replies
3
Views
10K
  • · Replies 7 ·
Replies
7
Views
4K
  • · Replies 3 ·
Replies
3
Views
4K
  • · Replies 1 ·
Replies
1
Views
2K
  • · Replies 2 ·
Replies
2
Views
3K