A box with the mass m = 25 kg is sliding up a hill

Click For Summary

Homework Help Overview

The discussion revolves around a physics problem involving a box with a mass of 25 kg sliding up a hill, with the influence of a horizontal wind force of 50 N. Participants are exploring the dynamics of the situation, particularly how the wind affects the box's motion and the forces acting on it.

Discussion Character

  • Exploratory, Assumption checking, Problem interpretation

Approaches and Questions Raised

  • Participants are attempting to clarify the direction and impact of the wind force on the box's movement. There are discussions about the components of the wind force and how it interacts with the slope. Some participants express uncertainty about incorporating the wind into their calculations and seek hints or guidance.

Discussion Status

The discussion is ongoing, with participants sharing their thoughts and attempting to clarify the problem setup. Some have provided tips on improving the clarity of their diagrams and equations, while others are still grappling with how to integrate the wind force into their analysis.

Contextual Notes

There are indications of missing information, such as the angle of the slope and the coefficient of friction, which are relevant to the problem but not fully addressed in the discussion. Participants are also encouraged to provide clearer visual aids to support their reasoning.

Danielheidarr
Messages
18
Reaction score
0
Homework Statement
A box with the mass m = 25 kg is sliding with starting speed of V0=7m/s up a hill that has the angle Θ=12°. there is a steady wind blowing with a horizontal force of Fv = 50N. The coefficient of friction is µk = 0.18.
Relevant Equations
a) What is the force that works on the box from the hill?
b) What distance, L, does the box slide up the hill before it stops?
c) What does the coefficient of friction need to be at the lowest so the box doesn´t slide back down the hill*
What I have already attempted is on my Ipad and I don't know how to upload it on here.
With hope of help
DJ
 
Physics news on Phys.org
Use my tips from your other thread to use "Attach files". :wink:
 
  • Like
Likes   Reactions: topsquark and MatinSAR
Danielheidarr said:
there is a steady wind blowing with a horizontal force of Fv = 50N.
Which way?
 
  • Like
Likes   Reactions: MatinSAR
haruspex said:
Which way?
Upp the hill (with the box)
 
Danielheidarr said:
Upp the hill (with the box)
You mean to say that there is an uphill component. The 50 N wind is horizontal.
 
If the wind is blowing down a slope, I guess it can't be horizontal.

Blowing horizontally into the slope is perhaps more precise than up the slope.
 
kuruman said:
You mean to say that there is an uphill component. The 50 N wind is horizontal.
yeah that's what I meant sorry
 
kuruman said:
You mean to say that there is an uphill component. The 50 N wind is horizontal.
sorry the uphill component is only for the box, the box is moving to the right towards the hill and the wind is moving horizontal in the same direction as the box.
 
PeroK said:
If the wind is blowing down a slope, I guess it can't be horizontal.

Blowing horizontally into the slope is perhaps more precise than up the slope.
yeah what i meant to say is blowing horizontally into the slope.
 
  • #10
Note 17 Nov 2022.jpg
 
  • #11
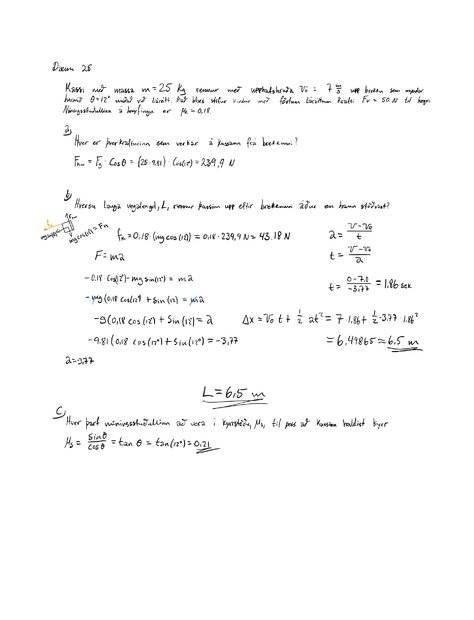
This is what I did. What do you guys think?
 
  • #12
Here is a pdf probably better to view that
 

Attachments

  • #13
Danielheidarr said:
This is what I did. What do you guys think?
##6.5m## looks like the distance without the wind blowing.
 
  • #14
ah that's right i forgot to add that in thank you so much :)
 
  • Sad
Likes   Reactions: PeroK
  • #15
Same for part c). ##\mu = \tan \theta ## is the calculation without the wind.
 
  • Like
Likes   Reactions: Danielheidarr
  • #16
Same for part a.
 
  • #17
PeroK said:
Same for part a.
I'm not quite sure how to work the wind into the equation. Any hints for it?
 
  • #18
Danielheidarr said:
I'm not quite sure how to work the wind into the equation. Any hints for it?
It's a force like any other.
 
  • #19
Danielheidarr said:
I'm not quite sure how to work the wind into the equation. Any hints for it?
See post #5.
 
  • #20
Danielheidarr said:
This is too hard to read. The subscripts are illegible and the thumbnail sketch FBD far too small. Draw decently sized diagrams and type equations.
Don't forget the wind force has a component normal to the slope.
 
  • #21
haruspex said:
This is too hard to read. The subscripts are illegible and the thumbnail sketch FBD far too small. Draw decently sized diagrams and type equations.
Don't forget the wind force has a component normal to the slope.
I also sent the pdf in post #12 better view there
 

Similar threads

  • · Replies 16 ·
Replies
16
Views
2K
  • · Replies 5 ·
Replies
5
Views
3K
Replies
13
Views
4K
Replies
9
Views
3K
Replies
44
Views
4K
Replies
16
Views
2K
  • · Replies 5 ·
Replies
5
Views
2K
  • · Replies 11 ·
Replies
11
Views
4K
  • · Replies 2 ·
Replies
2
Views
2K
Replies
4
Views
2K