A problem with Integration by Parts in Hartle's "Gravity"

Click For Summary

Homework Help Overview

The discussion revolves around a challenging integral presented in Hartle's "Gravity," specifically focusing on the method of integration by parts. Participants are seeking clarification on the application of this technique within the context of the book.

Discussion Character

  • Exploratory, Conceptual clarification, Mathematical reasoning

Approaches and Questions Raised

  • The original poster attempts to understand the integration by parts formula and its application in the context of the integral from the book. Some participants question specific steps in the derivation and express uncertainty about the process.

Discussion Status

The discussion is ongoing, with participants sharing insights and corrections. While some guidance has been offered, there is no explicit consensus on the correct approach yet, as participants explore different interpretations of the integral.

Contextual Notes

There is mention of a potential oversight in the original poster's derivation, indicating that assumptions or terms may be under discussion. The participants are also navigating the learning curve associated with the forum and the material.

Abtinnn
Messages
58
Reaction score
7
Hi guys!

I am reading the book "Gravity" by Hartle. I came across this scary-looking integral. The author does integration by parts and I don't get how he does it. Could someone guide me please?

Relevant equations:

∫u dv = uv - ∫v du
 

Attachments

  • Screen Shot 2015-03-24 at 6.21.51 PM.png
    Screen Shot 2015-03-24 at 6.21.51 PM.png
    65.1 KB · Views: 613
Physics news on Phys.org
Hi,
 
Sorry - I'm new to the physics forum and posted nothing as a reply by mistake. See if this helps:

:
forum answer 001.jpg
 
  • Like
Likes   Reactions: Abtinnn
Asher Weinerman said:
Sorry - I'm new to the physics forum and posted nothing as a reply by mistake. See if this helps:

:View attachment 80950

Wow!
Thanks a lot! It really helped!
I really really appreciate it :)

P.S. I am kinda new too. Welcome to PF :D
 
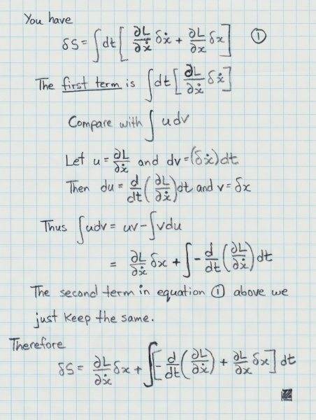
Oops - I forgot a term in my derivation. Here is the corrected version:
physics 2 forum 001.jpg
 
  • Like
Likes   Reactions: Abtinnn

Similar threads

Replies
3
Views
4K
  • · Replies 4 ·
Replies
4
Views
3K
  • · Replies 2 ·
Replies
2
Views
3K
  • · Replies 16 ·
Replies
16
Views
4K
  • · Replies 27 ·
Replies
27
Views
3K
  • · Replies 7 ·
Replies
7
Views
4K
  • · Replies 1 ·
Replies
1
Views
2K
Replies
9
Views
3K
  • · Replies 3 ·
Replies
3
Views
2K
  • · Replies 15 ·
Replies
15
Views
2K