Evaluate the definite integral in the given problem

Click For Summary
SUMMARY

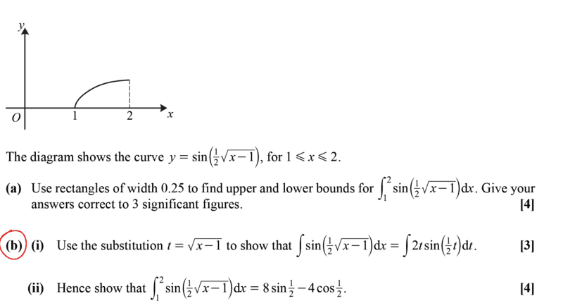
The discussion focuses on evaluating a definite integral using integration by parts, specifically with the variables defined as u=t, du=dt, dv=sin(1/2 t), and v=-2 cos(1/2 t). Participants agree that integration by parts is the most straightforward method for this problem. The conversation emphasizes the importance of recognizing the appropriate substitutions and transformations to simplify the integration process effectively.

PREREQUISITES
  • Understanding of integration techniques, specifically integration by parts.
  • Familiarity with trigonometric functions and their integrals.
  • Knowledge of variable substitution in calculus.
  • Basic proficiency in solving definite integrals.
NEXT STEPS
  • Study the derivation and application of the integration by parts formula.
  • Explore alternative integration techniques such as substitution and partial fractions.
  • Practice solving definite integrals involving trigonometric functions.
  • Learn about the implications of choosing different u and dv in integration by parts.
USEFUL FOR

Students in calculus courses, educators teaching integration techniques, and anyone seeking to improve their skills in solving definite integrals using integration by parts.

chwala
Gold Member
Messages
2,840
Reaction score
428
Homework Statement
See attached.
Relevant Equations
Integration by parts.
My interest is on the highlighted part only. Find the problem and solution here.

1651270870747.png
1651270902092.png


This is clear to me (easy )...i am seeking an alternative way of integrating this...or can we say that integration by parts is the most straightforward way?

The key on solving this using integration by parts is to note that;
##u=t, du=dt, dv=sin \frac {1}{2} t, v=-2 cos \frac {1}{2} t##
 
  • Like
Likes   Reactions: Delta2
Physics news on Phys.org
chwala said:
Homework Statement:: See attached.
Relevant Equations:: Integration by parts.

can we say that integration by parts is the most straightforward way?
I am not sure but afraid that we have no better way.
 
  • Like
Likes   Reactions: Delta2 and chwala

Similar threads

  • · Replies 15 ·
Replies
15
Views
2K
  • · Replies 8 ·
Replies
8
Views
2K
  • · Replies 105 ·
4
Replies
105
Views
11K
  • · Replies 6 ·
Replies
6
Views
2K
  • · Replies 22 ·
Replies
22
Views
3K
  • · Replies 10 ·
Replies
10
Views
2K
  • · Replies 1 ·
Replies
1
Views
2K
  • · Replies 7 ·
Replies
7
Views
2K
  • · Replies 9 ·
Replies
9
Views
2K
  • · Replies 2 ·
Replies
2
Views
2K