A simple delta function properties, sifting property

Click For Summary

Homework Help Overview

The discussion revolves around the properties of the delta function, specifically its sifting property, and the conditions under which it can be applied in integrals. Participants are examining the implications of integration limits and the relationship between the variables involved.

Discussion Character

  • Conceptual clarification, Assumption checking

Approaches and Questions Raised

  • Some participants question the necessity of the integration limits being infinite or the inclusion of the variable s within specific bounds. Others explore the implications of the delta function's properties when the limits of integration match the range of the variable s.

Discussion Status

The discussion is active, with participants offering different perspectives on the conditions required for the delta function's properties to hold. There is a recognition of the need for clarity regarding the assumptions about the variable s and its relationship to the integration limits.

Contextual Notes

There is an ongoing debate about whether the conditions for applying the delta function's sifting property have been adequately specified, particularly concerning the range of the variable s in relation to the integration limits.

hojoon yang
Messages
8
Reaction score
0
Member warned to use the formatting template
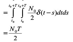
upload_2015-9-9_18-27-14.png


I don't know why this is possible

To use delta function properties( sifting property)

integral range have to (-inf ,inf)

or at least variable s should be included in [t_0,t_0+T]

but there is no conditions at all (i.e. t_0 < s < t_0+T)

am I wrong?
 
Physics news on Phys.org
It is the sameness of the integration limits that eliminates the need for them to be +- infinity. Consider the integral over ##t## only
$$
\int_{t_0}^{t_0+T} \delta(t-s) dt
$$.
The integrand is a delta function centered at ##t=s##, but the range of ##s## is the same as the range of ##t##. This means the integrand ##\delta(t-s)## is guaranteed to always be located inside the integration limit of ##t##. So,
$$
\int_{t_0}^{t_0+T} \delta(t-s) dt = 1
$$.
 
u mean delta function property does not care about integral range?
 
blue_leaf77 said:
$$
\int_{t_0}^{t_0+T} \delta(t-s) dt = 1
$$.
This is only true under the situtaion being considered, namely there is a second integral with respect to ##s## present with the same limits as the first integral.

EDIT: It might have been more justifiable if I had written
$$
\int_{t_0}^{t_0+T} \delta(t-s) dt = 1 \hspace{1.2cm} \text{for} \hspace{1.22cm} s=[t_0,t_0+T]
$$
 
Last edited:
hojoon yang said:
Taking one integral at a time: ∫ δ(t-s)dt from t0 to t0 + T = 0 unless s is within range of t0 to t0 + T, in which case it = 1. So you have to assume s is within range of t0 to t0 + T, and I agree that should have been specified.

Then the second integral is obviously T so the whole thing is N0/2 times 1 times T = N0T/2.
 
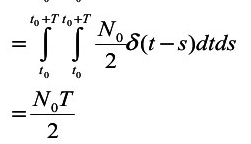
hojoon yang said:
View attachment 88419

I don't know why this is possible

To use delta function properties( sifting property)

integral range have to (-inf ,inf)

or at least variable s should be included in [t_0,t_0+T]

but there is no conditions at all (i.e. t_0 < s < t_0+T)

am I wrong?

Do you mean "shifting" or "sifting"? These are both relevant aspects of transforms such as the delta function, but they refer to vastly different properties.
 

Similar threads

  • · Replies 31 ·
2
Replies
31
Views
5K
Replies
2
Views
1K
  • · Replies 1 ·
Replies
1
Views
2K
Replies
4
Views
1K
  • · Replies 1 ·
Replies
1
Views
4K
  • · Replies 4 ·
Replies
4
Views
1K
  • · Replies 1 ·
Replies
1
Views
1K
  • · Replies 1 ·
Replies
1
Views
2K
Replies
8
Views
3K
  • · Replies 1 ·
Replies
1
Views
4K