A simple pendulum is suspended from the ceiling of an accelerating car

Click For Summary

Homework Help Overview

The problem involves analyzing the motion of a simple pendulum suspended in an accelerating car, specifically using Lagrangian and Hamiltonian mechanics to derive the motion equations. The original poster discusses finding the equilibrium angle and expresses difficulty in solving a differential equation due to a lack of initial conditions.

Discussion Character

  • Exploratory, Conceptual clarification, Mathematical reasoning

Approaches and Questions Raised

  • Participants discuss the use of small angle approximations and the importance of working with the angle deviation from equilibrium. There is a suggestion to redefine variables to simplify the equations. Questions about the clarity of previous posts and the need for a problem statement are raised.

Discussion Status

The discussion is ongoing, with participants providing guidance on variable definitions and expressing confusion about previous messages. Some participants indicate that they have reached correct conclusions based on the discussions, but there is no explicit consensus on the overall approach.

Contextual Notes

There are mentions of missing information regarding initial conditions and the need for clarity in the problem statement. Additionally, there are side notes about notation to avoid confusion in mathematical expressions.

badluckmath
Messages
9
Reaction score
3
Homework Statement
Show that ## \omega = \frac{\sqrt{a^{2}+g^{2} }}{l} ## for small angles
Relevant Equations
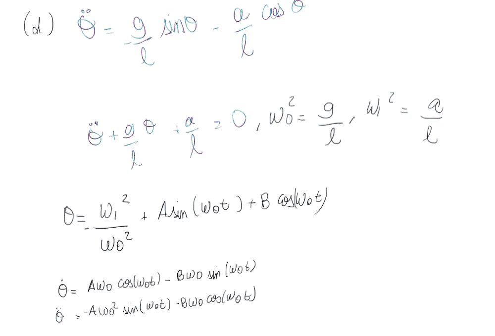
After solving the Hamilton equations, we find that ## \frac{d^{2}\theta}{dt^{2}} = -gsin(\theta)/l- acos(\theta)/l ##
Here is an image of the problem:
Sem título (2).png
The problem consist in finding the moviment equation for the pendulum using Lagrangian and Hamiltonian equations.
I managed to get the equations , which are shown insed the blue box:
Sem título (1).png

Using the hamilton equations, i finally got that the equilibrium angle ##\theta_{e}## : $$\theta_{e} = \tan^{-1}(\frac{-a}{g})$$m which is the angle where ## \frac{d^{2}\theta}{dt^{2}} =0 ##.

Now, i got stuck. I tried to solve an EDO using the small angles aproximation, but it doesn't seems to lead me anywhere, because i don't really have information for the initial values.
 

Attachments

  • Sem título.png
    Sem título.png
    27.2 KB · Views: 230
  • Like
Likes   Reactions: kent davidge
Physics news on Phys.org
You want small angles wrt ##\theta_e##, so work the equation around to ##\theta' = \theta -\theta_e## in first order of ##\theta'##.
 
Did you understand my post at all ? You want to work with ##\theta'##, not with ##y## .
 
BvU said:
Did you understand my post at all ? You want to work with θ′, not with y .
This was another question. About your answer, i used ## \mu = \theta + \theta_{e}## and i got the right answer. Which is the same as you said.
 
badluckmath said:
This was another question.
And do we have a problem statement for that one ?

Side note: use \cos and \sin, just like \tan.
That way there is no confusion about e.g.
## acos(\theta)/l## read as ## \operatorname {acos}(\theta)/l## instead of ## a\cos(\theta)/l##
 
BvU said:
And do we have a problem statement for that one ?

Side note: use \cos and \sin, just like \tan.
That way there is no confusion about e.g.
## acos(\theta)/l## read as ## \operatorname {acos}(\theta)/l## instead of ## a\cos(\theta)/l##
It's the same as before, but now, the acceleration is upwards .
 
Thread now looks garbled: there was a post #3 from you that has disappeared :oldconfused:
(not so bad, it was barely legible :nb) )
 

Similar threads

Replies
9
Views
3K
  • · Replies 4 ·
Replies
4
Views
5K
  • · Replies 19 ·
Replies
19
Views
3K
  • · Replies 9 ·
Replies
9
Views
3K
  • · Replies 7 ·
Replies
7
Views
2K
  • · Replies 3 ·
Replies
3
Views
3K
  • · Replies 11 ·
Replies
11
Views
3K
Replies
4
Views
2K
  • · Replies 2 ·
Replies
2
Views
2K
  • · Replies 1 ·
Replies
1
Views
3K