Absolute Value Inequalities: Solving for x

  • Context: High School 
  • Thread starter Thread starter jenrespect
  • Start date Start date
  • Tags Tags
    Absolute Inequality
Click For Summary

Discussion Overview

The discussion revolves around solving absolute value inequalities for the variable x. Participants are seeking guidance on the appropriate steps to take in order to eliminate the absolute value from the inequality, with some uncertainty about the methods being used.

Discussion Character

  • Homework-related, Exploratory

Main Points Raised

  • Some participants inquire about the next steps to eliminate the absolute value, expressing uncertainty about the correctness of their approaches.
  • One participant suggests that if a certain condition is met, the problem could be solved by setting the numerator equal to zero, while also noting that multiplying through by the denominator could be a valid approach, contingent on the correctness of their earlier statements.
  • There is a repeated request for clarification on whether the inquiry is a homework question, indicating a concern about the appropriate forum for such discussions.

Areas of Agreement / Disagreement

Participants do not appear to reach a consensus, as there are multiple inquiries and uncertainties regarding the methods to solve the absolute value inequality.

Contextual Notes

Some assumptions about the properties of absolute values and the conditions under which certain mathematical operations can be performed remain unaddressed, leading to potential limitations in the discussion.

jenrespect
Messages
1
Reaction score
0
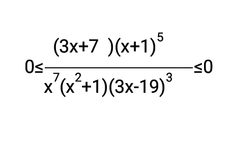
Please help me. What is the next step to get rid of the absolute value?

uploadfromtaptalk1444438526887.jpg


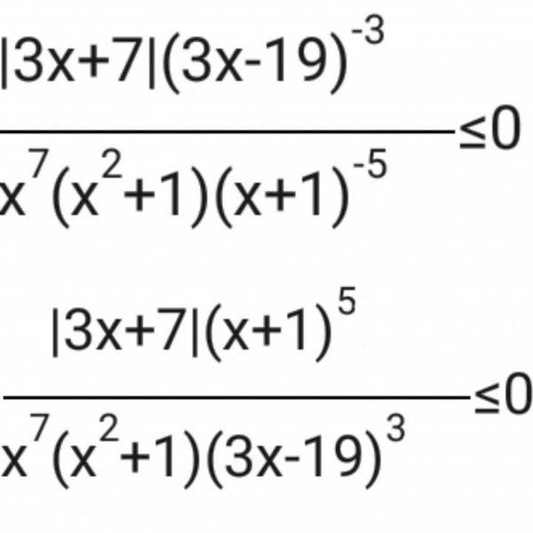
I tried using its property but I don't know if its correct.

uploadfromtaptalk1444438588314.png
 
Mathematics news on Phys.org
*REDACTED*

I'm not sure my advise is right. Not thinking super straight today. XD
 
jenrespect said:
Please help me. What is the next step to get rid of the absolute value?

View attachment 89957

I tried using its property but I don't know if its correct.

View attachment 89958
Is this a homework question? Homework questions need to be posted in the Homework & Coursework sections.
 
Matterwave said:
*REDACTED*

I'm not sure my advise is right. Not thinking super straight today. XD

If the last image were correct, you could just solve it with the nominator equivalent to zero, and even if it weren't, you could still multiply through by the denominator leaving the nominator less than or equal to 0, right? Assuming what I said is correct, then it shouldn't be too difficult to find the x values.
 

Similar threads

  • · Replies 2 ·
Replies
2
Views
2K
  • · Replies 13 ·
Replies
13
Views
2K
  • · Replies 12 ·
Replies
12
Views
2K
  • · Replies 6 ·
Replies
6
Views
2K
Replies
11
Views
3K
  • · Replies 12 ·
Replies
12
Views
2K
  • · Replies 4 ·
Replies
4
Views
3K
  • · Replies 1 ·
Replies
1
Views
2K
  • · Replies 10 ·
Replies
10
Views
2K
Replies
1
Views
1K