How do I solve absolute value inequalities involving polynomials?

Click For Summary

Homework Help Overview

The discussion revolves around solving absolute value inequalities that involve polynomials. Participants are exploring the properties of absolute values in the context of polynomial inequalities.

Discussion Character

  • Exploratory, Assumption checking, Problem interpretation

Approaches and Questions Raised

  • Participants discuss dividing the problem into cases based on the properties of absolute values, questioning the correctness of their steps. There are inquiries about critical values and the implications of signs in the context of the inequality.

Discussion Status

The discussion is active, with participants providing guidance on how to approach the problem. There is an exploration of different cases and critical values, but no consensus has been reached on the best method to proceed.

Contextual Notes

Participants note the presence of critical values that split the real number line into intervals, which may influence the approach to solving the inequality. There is also mention of the domain of the function involved.

moondaaay
Messages
2
Reaction score
0
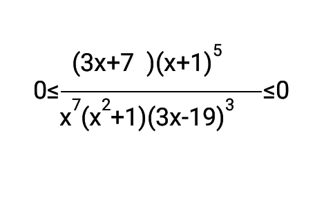
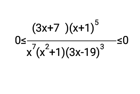
1.
2015-10-10 07.18.11.png

Homework Equations


Solving Polynomial Inequalities

The Attempt at a Solution




2015-10-10 07.18.11.png

Then I used the property of absolute value inequality to get rid of it.

But I really don't know if I'm doing the right step. Is this correct? So that I could separate them in two cases and find the solution set.
2015-10-10 07.39.00.png

 
Physics news on Phys.org
Divide it into two alternative cases.
(1) It's equal to zero. This is the easiest one. What can we say about x in that case?
(2) It's less than zero. What does that imply about the signs of the numerator and the denominator. Is there any part of either that we can ignore?
 
moondaaay said:
1. View attachment 89960

Homework Equations


Solving Polynomial Inequalities

The Attempt at a Solution




View attachment 89960
Then I used the property of absolute value inequality to get rid of it.

But I really don't know if I'm doing the right step. Is this correct? So that I could separate them in two cases and find the solution set.
View attachment 89962
Hello moondaaay. Welcome to PF !

Where is the function on the left side of the inequality zero?

What is its domain?

upload_2015-10-9_22-8-54.png
 
The inequality has four critical values for x, splitting the real number line into five intervals. Each interval can be checked to find which are solutions to the inequality and which are not solutions.
 
symbolipoint said:
The inequality has four critical values for x, splitting the real number line into five intervals. Each interval can be checked to find which are solutions to the inequality and which are not solutions.
But what should I do first to remove the absolute value?
 
moondaaay said:
But what should I do first to remove the absolute value?
Not really important here. Whatever sign the 3x+7, its absolute value will still be POSITIVE OR ZERO.
 

Similar threads

Replies
11
Views
3K
  • · Replies 9 ·
Replies
9
Views
2K
  • · Replies 11 ·
Replies
11
Views
2K
  • · Replies 4 ·
Replies
4
Views
2K
Replies
4
Views
2K
  • · Replies 3 ·
Replies
3
Views
2K
Replies
6
Views
4K
  • · Replies 7 ·
Replies
7
Views
2K
  • · Replies 32 ·
2
Replies
32
Views
2K
  • · Replies 4 ·
Replies
4
Views
2K