How Do Acid-Base Equilibria Work?

Click For Summary

Discussion Overview

The discussion revolves around the concept of acid-base equilibria, focusing on the mathematical representation of these equilibria through equations and the interpretation of various symbols and terms used in the context of acid-base reactions. Participants explore definitions, clarify terms, and seek to understand the underlying principles of the equations presented.

Discussion Character

  • Exploratory, Technical explanation, Conceptual clarification, Debate/contested

Main Points Raised

  • One participant presents equations related to acid-base equilibria, expressing confusion about the meaning of the symbols used, such as A, B, H, HA, and BH+.
  • Another participant asserts that the equations are definitions that do not require further understanding beyond acceptance and basic algebra.
  • A participant questions the meanings of the positive and negative signs in superscripts, suggesting they represent ion charges and emphasizing the need to understand basic concepts to grasp acid-base equilibrium.
  • It is noted that A and B are general symbols for acid and base residues, with HA representing any monoprotic acid.
  • A later reply explains the first equation as depicting the transfer of the H+ ion from acid to water, forming hydronium ions and anions, and discusses the equilibrium constant K in relation to these reactions.
  • The second set of equations is described as relating to the reaction of a basic salt with water, while the third set involves the reaction of an acid with a base.
  • There is mention of the convenience of using the negative logarithms of equilibrium constants due to their wide range.

Areas of Agreement / Disagreement

Participants express differing views on the necessity of understanding the equations presented, with some emphasizing the need for deeper comprehension while others suggest that the definitions are straightforward. The discussion remains unresolved regarding the level of understanding required to engage with the topic effectively.

Contextual Notes

Some participants highlight the importance of foundational knowledge in chemistry to fully grasp the concepts of acid-base equilibria, indicating potential limitations in understanding due to varying levels of prior knowledge.

Huzaifa
Messages
40
Reaction score
2
TL;DR
Equilibrium constants in acid-base reactions equations
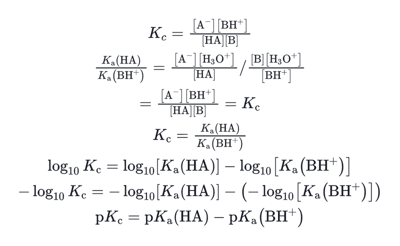
$$
\begin{array}{c}
\mathrm{HA}+\mathrm{H}_{2} \mathrm{O} \rightleftharpoons \mathrm{A}^{-}+\mathrm{H}_{3} \mathrm{O}^{+} \\
\mathrm{K}=\dfrac{\left[\mathrm{A}^{-}\right]\left[\mathrm{H}_{3} \mathrm{O}^{+}\right]}{\left.[\mathrm{HA}] \mathrm{H}_{2} \mathrm{O}\right]} \quad \mathrm{K}_{\mathrm{a}}=\dfrac{\left[\mathrm{A}^{-}\right]\left[\mathrm{H}_{3} \mathrm{O}^{+}\right]}{[\mathrm{HA}]} \\
\mathrm{BH}^{+}+\mathrm{H}_{2} \mathrm{O} \rightleftharpoons \mathrm{B}+\mathrm{H}_{3} \mathrm{O}^{+} \\
\mathrm{K}=\dfrac{[\mathrm{B}]\left[\mathrm{H}_{3} \mathrm{O}^{+}\right]}{\left[\mathrm{BH}^{+}\right]\left[\mathrm{H}_{2} \mathrm{O}\right]} \quad \mathrm{K}_{\mathrm{a}}=\dfrac{[\mathrm{B}]\left[\mathrm{H}_{3} \mathrm{O}^{+}\right]}{\left[\mathrm{BH}^{+}\right]} \\
\mathrm{HA}+\mathrm{B} \rightleftharpoons \mathrm{A}^{-}+\mathrm{BH}^{+} \\
\mathrm{K}_{\mathrm{c}}=\dfrac{\left[\mathrm{A}^{-}\right]\left[\mathrm{BH}^{+}\right]}{[\mathrm{HA}][\mathrm{B}]}
\end{array}
$$

Hello! I am not able to understand these equations for acid base equilibrium please. I have attached the images in the following post.
 
Last edited:
Chemistry news on Phys.org
Mk7erOBVfPjjSKm7Rgcifecr2bZhTJ18.rendered.fullsize.png

7bVg-EHQxdQuVPN_LoAa2lYLWMDstQEY.rendered.fullsize.png
 
What you posted is a definition - nothing to understand here, it just is what it is, all you have to do is to accept it - and some algebraic rearranging, that is not difficult to follow if you have a basic understanding of HS math. You have not explained what it is that you don't understand.
 
Borek said:
What you posted is a definition - nothing to understand here, it just is what it is, all you have to do is to accept it - and some algebraic rearranging, that is not difficult to follow if you have a basic understanding of HS math. You have not explained what it is that you don't understand.
I don't understand A, B, and H, and the positive and negative signs in superscripts. I assume that A is Acid, and B is Base, and H is Hydrogen. Please correct me if I am wrong.

I also don't understand HA and BH+? Also there is no OH-.
 
Huzaifa said:
the positive and negative signs in superscripts
These are ion charges. I suggest you you get back to basics, otherwise you won't be able understand the acid/base equilibrium.

A and B are often used as general symbols for acid (base) residue. HA means just any monoprotic acid.
 
  • Like
Likes   Reactions: jim mcnamara
The first equation shows the reversible transfer of the H+ ion from the acid HA to water H2O to form the hydronium ion H3O+ and the anion A-. The second shows the calculation of the equilibrium constant K for this reaction. Since the concentration of water is very high (~55 molar) it does not change significantly and is neglected in the calculation of the acid equilibrium constant Ka. Thus the equilibrium constant is equal to the concentration of the anion times the concentration of the hydronium ion divided by the concentration of the acid and of the water.
The second set of equations refers to the reaction of a basic salt such as the ammonium ion NH4+ with water and the third set refers to the reaction of an acid HA and a base such as ammonia NH3. These equilibrium constants cover 14 powers of ten from 101 to 10-14 so it is more convenient to use their negative logarithms: 0 to 14.
 

Similar threads

  • · Replies 6 ·
Replies
6
Views
2K
Replies
1
Views
2K
  • · Replies 2 ·
Replies
2
Views
2K
  • · Replies 8 ·
Replies
8
Views
3K
Replies
7
Views
3K
  • · Replies 4 ·
Replies
4
Views
2K
  • · Replies 7 ·
Replies
7
Views
2K
Replies
3
Views
1K
Replies
46
Views
7K
  • · Replies 9 ·
Replies
9
Views
3K