Adding trig functions with different amplitudes

Click For Summary

Discussion Overview

The discussion revolves around the addition of trigonometric functions with different amplitudes, specifically exploring how to generalize identities when the amplitudes are not equal. Participants consider the implications for Fourier transforms and the challenges of programming these concepts.

Discussion Character

  • Exploratory
  • Technical explanation
  • Debate/contested
  • Mathematical reasoning

Main Points Raised

  • One participant questions how to generalize the addition of sine functions with different amplitudes, suggesting that the identities may need to account for these amplitudes on the right-hand side (RHS) of the expressions.
  • Some participants assert that there is no general simplification for adding trigonometric functions with different amplitudes, indicating that they must remain as a multiplied sum.
  • Another participant expresses frustration about the lack of simplification, noting their intention to program a Fourier transform that requires linear combinations of trigonometric functions.
  • One response suggests that if only a few trigonometric functions are involved, direct calculation is feasible, and mentions the Fast Fourier Transform (FFT) as a potential solution for more complex cases.
  • A later reply provides derivations of trigonometric identities and discusses their application in transforming products into sums, questioning the necessity of a specific form of expression for the addition of sine functions.
  • Another participant introduces the concept of the inverse Fourier transform as a possible avenue for exploration.

Areas of Agreement / Disagreement

Participants generally express disagreement regarding the possibility of simplifying the addition of trigonometric functions with different amplitudes. Multiple competing views remain on how to approach the problem, particularly in the context of Fourier transforms.

Contextual Notes

The discussion highlights limitations in deriving general identities for trigonometric functions with varying amplitudes and the dependence on specific mathematical definitions and contexts. There are unresolved mathematical steps related to the application of Fourier transforms.

Mayhem
Messages
439
Reaction score
324
TL;DR
A general rule for adding two trigonometric functions that have unidentical amplitudes
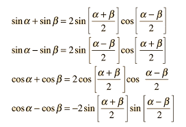
The trig identities for adding trig functions can be seen:
1662661943524.png

But here the amplitudes are identical (i.e. A = 1). However, what do I do if I have two arbitrary, real amplitudes for each term? How would the identity change?

Analysis: If the amplitudes do show up on the RHS, we would expect them to either be a product or sum of these, possibly signed, or simply explicitly states. For A = 1, it may be difficult to see where they appear if explicitly stated, as they disappear as a factor. However, what we do see is that 2 appears in front of all of the RHS identities, which is a hint that for A_1 = A_2 = 1, we simply add them together and place them as a factor in front of the expression. However, this isn't necessarily the case, and simply and intuition, and considering 2 also appears in the denominators of the inner terms, it isn't a given that the number 2 shows up for this reason.

I don't know the derivations of the above identities, so I'm wondering if there is a way to generalize something like Asin(a) + Bsin(b) such that these terms are accounted for on the RHS of an equivalent expression.
 
Mathematics news on Phys.org
There is no general simplification for that situation. You just have to leave them as the multiplied sum of two different trig functions.
 
FactChecker said:
There is no general simplification for that situation. You just have to leave them as the multiplied sum of two different trig functions.
Well that's annoying. The problem is I am trying to program a Fourier transform, which requires me to make a linear combination of trig functions. However, I can probably figure out a workaround.
 
Mayhem said:
Well that's annoying. The problem is I am trying to program a Fourier transform, which requires me to make a linear combination of trig functions. However, I can probably figure out a workaround.
If your program only has to calculate a linear combination of a couple of trig functions, then a computer can easily do the calculation directly.
If you are trying to calculate the Fourier transform of a general function and have enough data points, then you should look into the Fast Fourier Transformation (FFT). There are several implementations of the FFT algorithm. (see https://en.wikipedia.org/wiki/Fast_Fourier_transform)
 
Last edited:
  • Like
Likes   Reactions: topsquark
These identities are derived from [tex] \begin{split} \cos(a \pm b) &= \cos a \cos b \mp \sin a \sin b, \\<br /> \sin(a \pm b) &= \sin a \cos b \pm \cos a \sin b. \end{split}[/tex] Their purpose in the context of transforms is to turn products into sums. For example [tex] \begin{split}<br /> \left(\sum_{n=0}^N a_n \cos(nx)\right)\left(\sum_{n=0}^N b_n \cos(nx)\right)<br /> &= \sum_{n=0}^N \sum_{m=0}^N a_n b_m \cos (nx) \cos(m x) \\<br /> &= \frac12 \sum_{n=0}^N \sum_{m=0}^N<br /> a_nb_m \left( \cos((n+m)x) + \cos((n-m)x)\right)\end{split}[/tex] and from there you can work out which values of [itex]n[/itex] and [itex]m[/itex] will contribute to the coefficients [itex]c_r[/itex] in [itex]\sum_{r=0}^N c_r \cos(rx)[/itex].

You can use these identities to do what you were originally attempting, but it is unclear to me why you would want to write [itex](A + B)\sin((a+b)/2)\cos((a-b)/2) + (A - B)\cos((a+b)/2)\sin((a-b)/2)[/itex] instead of [itex]A \sin a + B \sin b[/itex].
 
Last edited:
  • Like
Likes   Reactions: PeroK, Mayhem and topsquark

Similar threads

  • · Replies 17 ·
Replies
17
Views
6K
Replies
8
Views
2K
  • · Replies 7 ·
Replies
7
Views
2K
  • · Replies 2 ·
Replies
2
Views
1K
  • · Replies 4 ·
Replies
4
Views
3K
  • · Replies 2 ·
Replies
2
Views
2K
  • · Replies 2 ·
Replies
2
Views
2K
  • · Replies 4 ·
Replies
4
Views
2K
  • · Replies 10 ·
Replies
10
Views
2K
  • · Replies 12 ·
Replies
12
Views
35K