Bose-Einstein numerical integration

Click For Summary

Discussion Overview

The discussion revolves around the numerical integration of total energy density over photon energies, specifically between temperature values of 500K and 5800K. Participants explore the physical implications of integrating over temperature, the application of Planck's law, and the relationship between energy density and intensity.

Discussion Character

  • Exploratory
  • Technical explanation
  • Debate/contested
  • Mathematical reasoning

Main Points Raised

  • Some participants express uncertainty about the physical meaning of integrating energy density over temperature.
  • There is a reference to the relationship ##N/V = C T^3##, with discussions on how to integrate this expression.
  • Participants discuss the constants involved in the integration, including the factor ##\Gamma(3) \zeta(3) \approx 2.40##.
  • Some suggest using the Stefan-Boltzmann law and Wien's displacement law to approach the problem, questioning the necessity of integrating energy density.
  • There are inquiries about the integration process for Planck's radiation law, with distinctions made between integrating over wavelength, frequency, and temperature.
  • One participant mentions confusion regarding the application of constants when integrating over different variables.
  • There is a specific question about the calculation of intensity and how it relates to the integration of energy density.
  • Participants share links to external resources for further clarification on the topic.

Areas of Agreement / Disagreement

Participants do not reach a consensus on the physical meaning of integrating over temperature or the appropriate method for performing the integration. Multiple competing views and uncertainties remain regarding the integration process and the constants involved.

Contextual Notes

Limitations include the lack of clarity on the physical interpretation of temperature integration and unresolved mathematical steps in the integration process. The discussion also highlights varying approaches to the application of Planck's law.

Who May Find This Useful

Readers interested in the numerical integration of physical laws, particularly in the context of blackbody radiation and thermodynamics, may find this discussion relevant.

TeslaPow
Messages
40
Reaction score
1
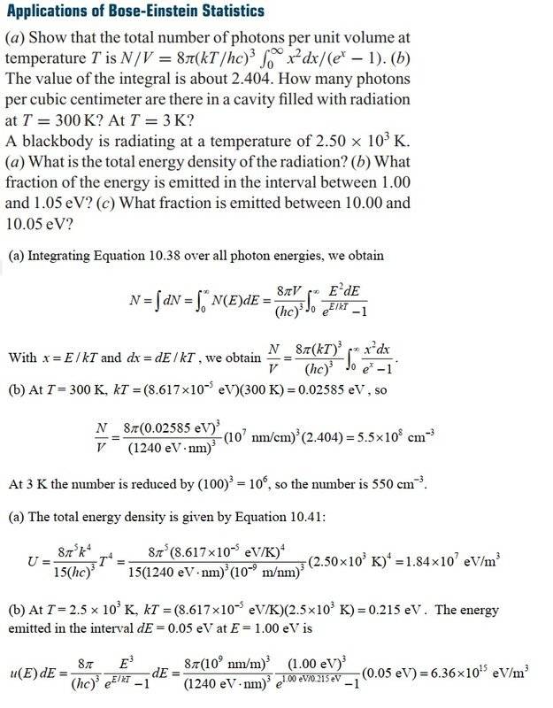
Want to integrate the total energy density over all photon energies between two
temperature values from 500K to 5800K, but not sure how to proceed.

Here is some examples to help:

bose einstein photon.jpg
Bose-Einstein Density.jpg
 

Attachments

  • Bose-Einstein Density.jpg
    Bose-Einstein Density.jpg
    70 KB · Views: 306
Last edited:
Physics news on Phys.org
TeslaPow said:
Want to integrate the total energy density over all photon energies between two
temperature values from 500K to 5800K, but not sure how to proceed.
I don't see how it would make sense physically to integrate over temperature.

In any case, you have ##N/V = C T^3## [see the last line of the solution of 40. (a)], which shouldn't be too hard to integrate :smile:
 
DrClaude said:
I don't see how it would make sense physically to integrate over temperature.

In any case, you have ##N/V = C T^3## [see the last line of the solution of 40. (a)], which shouldn't be too hard to integrate :smile:

By C you mean: 8 *pi * k / (hc)^3 ?
 
TeslaPow said:
By C you mean: 8 *pi * k / (hc)^3 ?
That should be ##k^3## and you forgot the ##\Gamma(3) \zeta(3) \approx 2.40## factor.
 
DrClaude said:
That should be ##k^3## and you forgot the ##\Gamma(3) \zeta(3) \approx 2.40## factor.

So I also have to multiply the constant outside the integral with 2.40? What value will I use for T in the same equation on the left side if I integrate between 500K and 5500K ?
 
TeslaPow said:
So I also have to multiply the constant outside the integral with 2.40? What value will I use for T in the same equation on the left side if I integrate between 500K and 5500K ?
I don't understand. You said you
TeslaPow said:
Want to integrate the total energy density over all photon energies between two
temperature values from 500K to 5800K, but not sure how to proceed.
which I take to mean
$$
\int_{500\ \mathrm{K}}^{5800\ \mathrm{K}} \frac{N}{V} dT
$$
So you simply need to integrate ##T^3## with the proper constant outside the integral.

TeslaPow said:
When looking at Stefan-Boltzmann law, and how the procedure is done there,
As I said above, I do not understand what an integral over temperature physically means here. Usually one is interested in the value at a given ##T## or in the change with respect to ##T##.
TeslaPow said:
is this the equation to use if I want to find the integral between 500K and 5500K?
Not if you are interested in the energy density.

Maybe it would help to explain what physical situation you are considering?
 
I thought maybe that an integration was necessary on the energy density, but it seems that the Wien displacement law is used to find the peak curve and then you use Stefan Boltzmann law to integrate between wavelengths within that peak. Stefan law is the Planck radiation formula multiplied by C/4. Does this seem reasonable?
 
Last edited:
TeslaPow said:
I thought maybe that an integration was necessary on the energy density, but it seems that the Wien displacement law is used to find the peak curve and then you use Stefan Boltzmann law to integrate between wavelengths within that peak. Stefan law is the Planck radiation formula multiplied by C/4. Does this seem reasonable?
Everything comes from Planck's law, which gives the energy density of a photon gas per wavelength/frequency. Wien's displacement law is simply the maximum of that distribution. Stefan's law gives, which is indeed Planck's law multiplied by ##C/4## if you use the correct ##C##, gives you the power per unit area emitted by a blackbody.

Since you didn't say what you are trying to calculate, I cannot say more about what it is you should be considering.
 
  • #10
Is the procedure for the numerical integration for Planck's radiation law the same for the energy density
as it is for the intensity? How is the value calculated here in b) ?
Uten navn.jpg

stefan.jpg
 
  • #11
TeslaPow said:
Is the procedure for the numerical integration for Planck's radiation law the same for the energy density
as it is for the intensity?
Yes.

TeslaPow said:
How is the value calculated here in b) ?
There is no integration here, you simply plug in the values of λ and T.
 
  • #12
DrClaude said:
Yes.

So the value for the constant outside the integral in the energy density is
8 * pi * c^(2) * h ?
 
  • #13
It depends what you are integrating. Are you integrating over wavelength, frequency, temperature?
 
  • #14
DrClaude said:
It depends what you are integrating. Are you integrating over wavelength, frequency, temperature?

Wavelength, is it just using the value I wrote one thread above? What will it be for frequency and temperature?
 
  • #15
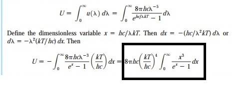
The energy density per unit wavelength is given in your post #6
$$
\frac{U}{V} = \frac{8 \pi h c}{\lambda^5} \frac{1}{e^{hc/\lambda kT} - 1}
$$
so if you integrate over λ, the constant is ##8 \pi h c##.

However, if you make the substitution ##x = hc/\lambda kT##, then
$$
\begin{align*}
\int_{\lambda_1}^{\lambda_2} \frac{U}{V} d\lambda &= \int_{\lambda_1}^{\lambda_2} \frac{8 \pi h c}{\lambda^5} \frac{1}{e^{hc/\lambda kT} - 1} d \lambda
&= -\frac{8 \pi (kT)^4}{(hc)^3} \int_{x_1}^{x_2} \frac{x^3}{e^{x} - 1} d x
\end{align*}
$$
so the constant is ##-8 \pi (kT)^4 (hc)^{-3}##.
 
  • #16
Uten navn1.jpg

So this is used for the integration?
 
  • #17
TeslaPow said:
View attachment 272035
So this is used for the integration?
In the second case I presented, yes. But in your post #10, problem 24(a) is calculated using a direct integration as a function of λ, as in the first case I presented.
 
  • #18
The integration I outlined is used for temperature? What I don't understand quite is why wavelength is used in both energy density and intensity as the factor C/4 is used to convert between these.
 
  • #19
TeslaPow said:
The integration I outlined is used for temperature?
Again, I have never seen Planck's law being integrated over temperature. I do not understand what this would mean physically. Planck's law gives the energy density of a photon gas at equilibrium , hence at a given temperature.

TeslaPow said:
What I don't understand quite is why wavelength is used in both energy density and intensity as the factor C/4 is used to convert between these.
You can write Planck's law as a function of frequency or wavelength. How to go from energy density of a photon gas to emission from a black body is explained in statistical physics textbooks. A couple of online references that might be useful:
https://en.wikipedia.org/wiki/Stefan–Boltzmann_law#Derivation_from_Planck's_law
Lecture 25. Blackbody Radiation (Ch. 7)www.physics.rutgers.edu › ~gersh (slide 13)
 
  • #21
Is this the right equation to use for the answer in 24 b) ?
 
  • #22
TeslaPow said:
Last question, as for 24 b) in #10, the answer for the first intensity should be I(400nm,T) = 335289 W/m^2

https://www.wolframalpha.com/input/?i=solve(x/(4.593*10^(6))=0.073,x)
I don't understand what you are doing here. You seem to be calculating I(400nm,T) / (integral of I over all λ) instead of I(400nm,T)/I(966nm,T).

TeslaPow said:
This is correct.
 
  • #23
Thanks for your guidance and help, learned a lot and really appreciate it. Here is a video I think you will
like,
 

Similar threads

  • · Replies 4 ·
Replies
4
Views
2K
  • · Replies 1 ·
Replies
1
Views
2K
  • · Replies 6 ·
Replies
6
Views
5K
Replies
6
Views
4K
Replies
2
Views
6K
  • · Replies 2 ·
Replies
2
Views
2K
  • · Replies 7 ·
Replies
7
Views
4K
  • · Replies 2 ·
Replies
2
Views
2K
  • · Replies 4 ·
Replies
4
Views
2K
  • · Replies 12 ·
Replies
12
Views
3K