Both roots of a quadratic equation above and below a number

Click For Summary

Homework Help Overview

The discussion revolves around a quadratic equation of the form 2x² + mx + (m² - 5) = 0, specifically focusing on the conditions for its roots to be both less than 1 and greater than -1. Participants are analyzing the implications of these conditions on the parameter m, as well as the requirements for the roots to be real.

Discussion Character

  • Exploratory, Assumption checking, Problem interpretation

Approaches and Questions Raised

  • Participants discuss the implications of the roots being less than 1 and greater than -1, questioning the validity of certain assumptions and implications related to the roots and their relationships. There are attempts to derive conditions for m based on the discriminant and the nature of the roots.

Discussion Status

The discussion is active, with various participants providing insights and critiques of each other's reasoning. Some participants have offered guidance on how to approach the problem, while others are exploring different interpretations of the conditions set forth in the original problem.

Contextual Notes

There is a noted complexity regarding the relationship between the roots and the conditions they must satisfy, leading to questions about whether both conditions must be satisfied simultaneously or if they are independent. Additionally, the discussion includes concerns about the implications of inequalities involving the roots and the parameter m.

brotherbobby
Messages
784
Reaction score
172
Homework Statement
Find all the values of ##m## for which both roots of the equation ##2x^2+mx+m^2-5 = 0##
(a) are less than ##1##;
(b) exceed ##-1##.
Relevant Equations
For a quadratic equation ##ax^2+bx+c=0## :
(1) For roots to be real, the discriminant ##\mathscr{D} = b^2-4ac\ge0##.
(2) The sum of the roots ##S = -\frac{b}{a}##.
(3) The product of the roots ##P = \frac{c}{a}##.
1612284155130.png
Let me start by pasting the question as it appears in the text :My Attempt :


Given equation : ##\boldsymbol{2x^2+mx+m^2-5 = 0}##.
For the roots of this equation to be real, the discriminant : ##m^2-8(m^2-5) \ge 0\Rightarrow 7m^2-40\le 0\Rightarrow -\sqrt{\frac{40}{7}} \le m \le \sqrt{\frac{40}{7}}##. (This is the same as##\boldsymbol{-2.39\le m \le 2.39}##, in case if actual amounts become necessary as "cut offs" from later constraint equations of a similar kind).

(a) If the roots are ##\alpha, \beta##, the first given condition is that ##\alpha, \beta < 1## ##\Rightarrow \alpha \beta < 1##. This amounts to ##\frac{m^2-5}{2} < 1\Rightarrow m^2 < 7 \Rightarrow -\sqrt{7} < m < \sqrt{7}## which is the same as ##-2.65 < m < 2.65##. Since the earlier constraint for real roots (see above in bold) is more restrictive than this, my answer for this case : ##\boxed {\sqrt{\frac{40}{7}} \le m \le \sqrt{\frac{40}{7}}}##.

(b) For the second condition, ##\alpha, \beta > -1## ##\Rightarrow \alpha + \beta > -1 \Rightarrow -\frac{m}{2} > -1 \Rightarrow m < 2## . "Uniting" this with the solution which demands both roots be real, my answer to this part is ##\boxed{-\sqrt{\frac{40}{7}} \le m < 2}##.

However, according to the book, both my answers are incorrect.

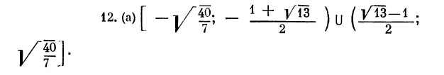
The answers according to the text are : (a) ## m \in \left[ -\sqrt{\frac{40}{7}} ; - \frac{1+\sqrt{13}}{2}\right ) \cup \left(\frac{\sqrt{13} - 1}{2}; \sqrt{\frac{40}{7}} \right ]## and (b) ## m \in \left[ -\sqrt{\frac{40}{7}} ; \frac{1-\sqrt{13}}{2}\right ) \cup \left(\frac{\sqrt{13} + 1}{2}; \sqrt{\frac{40}{7}} \right ]##.

Let me copy and paste the answers as they appear.

1612284792639.png

1612284839661.png


Any help would be appreciated.
 
Physics news on Phys.org
brotherbobby said:
(a) If the roots are ##\alpha, \beta##, the first given condition is that ##\alpha, \beta < 1## ##\Rightarrow \alpha \beta < 1##.
This is not right. First, that implication doesn't hold. E.g. ##\alpha = \beta = -2##. Second, a one-way implication is not that much use at this stage, as far as I can see.
 
This is straightforward: if both roots of [itex]ax^2 + bx + c = 0[/itex] are to be less than or equal to [itex]C[/itex] then (1) the roots must be real, and (2) the larger root [tex]\frac{-b + \sqrt{b^2 - 4ac}}{2a} \leq C.[/tex]. On the other hand, if both roots are to be greater than or equal to [itex]C[/itex] then (1) the roots must be real, and (2) the smaller root
[tex]\frac{-b - \sqrt{b^2 - 4ac}}{2a} \geq C.[/tex].
 
  • Like
Likes   Reactions: Charles Link and neilparker62
The second step is to make sure the discriminant stays positive. That step was left off of the previous post.
Edit: Looks like it was included by saying the roots must be real.
 
pasmith said:
This is straightforward: if both roots of ax2+bx+c=0 are to be less than or equal to C then (1) the roots must be real, and (2) the larger root −b+b2−4ac2a≤C.. On the other hand, if both roots are to be greater than or equal to C then (1) the roots must be real, and (2) the smaller root
−b−b2−4ac2a≥C..

Thank you for your help and sorry for coming in late. During the solution, I was stuck with a problem of the following kind : If ##a<b##, does it mean ##a^2 < b^2##? Clearly not, for ##-3<-2## but ##(-3)^2 > (-2)^2##. I failed to realize that it is not case involving roots, as square roots are defined to be positive. Hence if ##\sqrt{m} < n \Rightarrow m < n^2##. This point will come up in the solution to the above problem which I carry out below for completeness.

Statement of the problem : Find all the values of ##m## for which both roots of the equation ##\boldsymbol{2x^2+mx+m^2-5=0}## are (a) less than 1, (b) exceed -1.

Attempt : Please see my post # 1 where I show that for the sake of real roots, the discriminant ##\mathscr{D} \ge 0## which leads to the following limits for ##m## : ##-\sqrt{\frac{40}{7}} \le m \le \sqrt{\frac{40}{7}}##.

(a) Given that both roots are less than 1 : If ##[\alpha,\beta]## be the two roots of the equation and ##\alpha ## be the larger of the two roots, then this condition implies ##\alpha < 1 \Rightarrow \frac{-m+\sqrt{m^2-8(m^2-5)}}{4}<1 \Rightarrow -m+\sqrt{m^2-8(m^2-5)}< 4 \Rightarrow \sqrt{m^2-8m^2+40} < 4+m \Rightarrow \sqrt{40-7m^2} < 4+m \Rightarrow \ 40-7m^2 < 16+8m+m^2 \Rightarrow 8m^2+8m -24 > 0 \Rightarrow m^2 +m - 3 > 0##.

This leads to ##m > \frac{-1\sqrt{13}}{2}\; \text{OR}\; m < \frac{-1-\sqrt{13}}{2}##.

Combining this with the earlier requirement for positive-definite discriminant, we obtain the answer for (a) which matches with that in the book :
##\boxed{m \in \left[ -\sqrt{\frac{40}{7}} ; - \frac{1+\sqrt{13}}{2}\right ) \cup \left(\frac{\sqrt{13} - 1}{2}; \sqrt{\frac{40}{7}} \right ]}##.

(b) Given that both roots are greater than -1 : This condition is equivalent to saying that the smaller of the two roots ##\beta > -1 \Rightarrow \frac{-m-\sqrt{m^2-8(m^2-5)}}{4} > -1 \Rightarrow -m+\sqrt{40-m^2} > -4 \Rightarrow \sqrt{40-7m^2} < 4-m \Rightarrow \ 40-7m^2 < 16-8m+8m^2 \Rightarrow 8m^2-8m -24 > 0 \Rightarrow m^2 - m - 3 > 0##.

This amounts to the following conditions for ##m## : ##m< \frac{1-\sqrt{13}}{2}\; \text{OR}\; m> \frac{1+\sqrt{13}}{1}##.

Combinging this with the earlier requirement of positive definiteness of the discriminant, we obtain the answer as given in the book :

##\boxed{m \in \left[ -\sqrt{\frac{40}{7}} ; \frac{1-\sqrt{13}}{2}\right ) \cup \left(\frac{\sqrt{13} + 1}{2}; \sqrt{\frac{40}{7}} \right ]}##.

Thank you for your help, specially @pasmith in post#3 above.
 
  • Like
Likes   Reactions: Charles Link
Charles Link said:
The second step is to make sure the discriminant stays positive. That step was left off of the previous post.
Edit: Looks like it was included by saying the roots must be real.
Yes. Just to add a bit more (it was pointed out by you already). A quadratic equation has two real roots if the discriminant is positive. One real root if the discriminant is equal to 0, and no real roots if the discriminant is negative. You can visualize this by drawing a parabola intersecting the x-axis at two points, intersecting the x -axis at one point, or not intersecting the x-axis at all, respectively.

I mentioned this, in case there is a problem that requires you to find all solutions which only one real root is possible, or when no real roots are possible.
 
  • Like
Likes   Reactions: Charles Link
I get the same arithmetic expressions as you do. I wouldn't swear that this is the answer; I have some difficulty in understanding what the question is. not clear to me whether both routes must satisfy both conditions (a) and (b) , or whether there is a question about (a) and a separate question about (b).

I would say your answer can be notably simplified and improved: instead of the long series of expressions for α, β , just say, if we call the original quadratic P(x) , a superior root < 1 requires P(1) > 0 and this gives you your quadratic in m immediately; similarly for an inferior root > -1 , P(-1) > 0 - both on condition your discriminant is positive.

(For deriving arriving the conclusion from the quadratic in m, I recommend not using the quadratic solution formula, but just the 'completing the square' apprpoach.)
 
epenguin said:
I have some difficulty in understanding what the question is. not clear to me whether both routes must satisfy both conditions (a) and (b) , or whether there is a question about (a) and a separate question about (b).

(a) and (b) are different parts of the same problem. They are independent.

epenguin said:
if we call the original quadratic P(x) , a superior root < 1 requires P(1) > 0 and this gives you your quadratic in m immediately; similarly for an inferior root > -1 , P(-1) > 0 - both on condition your discriminant is positive.

I had read this somewhere also. Can you give a justification for this? I mean, why is it that for the larger root to be greater than 1 implies that P(1) > 0, given P(x) is the quadratic. And similarly for the smaller root.
 

Similar threads

  • · Replies 22 ·
Replies
22
Views
4K
Replies
3
Views
2K
  • · Replies 14 ·
Replies
14
Views
4K
  • · Replies 12 ·
Replies
12
Views
4K
  • · Replies 20 ·
Replies
20
Views
3K
Replies
3
Views
3K
  • · Replies 14 ·
Replies
14
Views
3K
  • · Replies 7 ·
Replies
7
Views
3K
  • · Replies 17 ·
Replies
17
Views
2K
  • · Replies 10 ·
Replies
10
Views
2K